【药物名称】Pramipexole hydrochloride, SND-919, PNU-98528E, SND-919CL2Y(free base), U-98528E(free base), SND-919Y, Mirapexin, Sifrol, Mirapex
化学结构式(Chemical Structure):
参考文献No.4638
标题:Tetrahydrobenzothiazoles, their preparation and their use as intermediates or as medicines
作者:Griss, G. et al. (Dr. Karl Thomae GmbH)
来源:AU 8551544; DE 3447075; DE 3508947; EP 0186087; ES 8707513; ES 8707514; ES 8707515; JP 1986155377; US 4731374
合成路线图解说明:

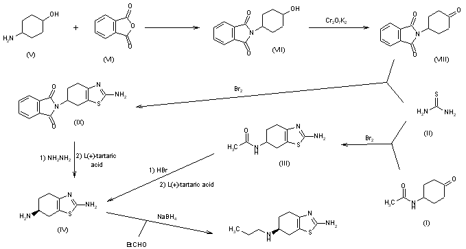
This compound can be obtained in two related ways: 1) The cyclization of 4-acetamidocyclohexanone (I) with thiourea (II) by means of Br2 in hot acetic acid gives 6-acetamido-2-amino-4,5,6,7-tetrahydrobenzothiazole (III), which by hydrolysis with refluxing aqueous HBr yields racemic 2,6-diamino-4,5,6,7-tetrahydrobenzothiazole (racemic IV). Optical resolution with L-(+)-tartaric acid affords the (S)-(-)-isomer (IV), which is finally treated with propionaldehyde and LiBH4. 2) The reaction of 4-aminocyclohexanol (V) with phthalic anhydride (VI) in toluene gives the phthalimido derivative (VII), which is oxidized with potassium dichromate - H2SO4 to the corresponding cyclohexanone (VIII). The cyclization of (VIII) with thiourea (II) and Br2 as before affords 2-amino-6-phthalimido-4,5,6,7-tetrahydrobenzothiazole (IX), which is deprotected with hydrazine in refluxing ethanol yielding racemic (IV), already obtained.

参考文献No.97424
标题:J. Dopamine autoreceptor agonists: Resolution and pharmacological activity of 2,6-diaminotetrahydrobenzothiazole and an aminothiazole analogue of apomorphine
作者:Schneider, C.S.; Mierau, J.
来源:J Med Chem 1987,30(3),494
合成路线图解说明:

This compound can be obtained in two related ways: 1) The cyclization of 4-acetamidocyclohexanone (I) with thiourea (II) by means of Br2 in hot acetic acid gives 6-acetamido-2-amino-4,5,6,7-tetrahydrobenzothiazole (III), which by hydrolysis with refluxing aqueous HBr yields racemic 2,6-diamino-4,5,6,7-tetrahydrobenzothiazole (racemic IV). Optical resolution with L-(+)-tartaric acid affords the (S)-(-)-isomer (IV), which is finally treated with propionaldehyde and LiBH4. 2) The reaction of 4-aminocyclohexanol (V) with phthalic anhydride (VI) in toluene gives the phthalimido derivative (VII), which is oxidized with potassium dichromate - H2SO4 to the corresponding cyclohexanone (VIII). The cyclization of (VIII) with thiourea (II) and Br2 as before affords 2-amino-6-phthalimido-4,5,6,7-tetrahydrobenzothiazole (IX), which is deprotected with hydrazine in refluxing ethanol yielding racemic (IV), already obtained.

参考文献No.168739
标题:Pramipexole Hydrochloride
作者:De Angelis, L.
来源:Drugs Fut 1992,17(4),291
合成路线图解说明:

This compound can be obtained in two related ways: 1) The cyclization of 4-acetamidocyclohexanone (I) with thiourea (II) by means of Br2 in hot acetic acid gives 6-acetamido-2-amino-4,5,6,7-tetrahydrobenzothiazole (III), which by hydrolysis with refluxing aqueous HBr yields racemic 2,6-diamino-4,5,6,7-tetrahydrobenzothiazole (racemic IV). Optical resolution with L-(+)-tartaric acid affords the (S)-(-)-isomer (IV), which is finally treated with propionaldehyde and LiBH4. 2) The reaction of 4-aminocyclohexanol (V) with phthalic anhydride (VI) in toluene gives the phthalimido derivative (VII), which is oxidized with potassium dichromate - H2SO4 to the corresponding cyclohexanone (VIII). The cyclization of (VIII) with thiourea (II) and Br2 as before affords 2-amino-6-phthalimido-4,5,6,7-tetrahydrobenzothiazole (IX), which is deprotected with hydrazine in refluxing ethanol yielding racemic (IV), already obtained.

Drug Information Express,Drug R&D,Chemical Database,Patent Search.
Copyright © 2006-2026 Drug Future. All rights reserved.Contact Us