【药物名称】7-Methoxytacrine, 7-MEOTA
化学结构式(Chemical Structure):
参考文献No.12017
标题:7,8,9,10-Tetrahalo-6H-cyclohepta[b]quinolines
作者:Sigal, M.V. Jr.; Brent, B.J.; Marchini, P.
来源:US 3232945
合成路线图解说明:

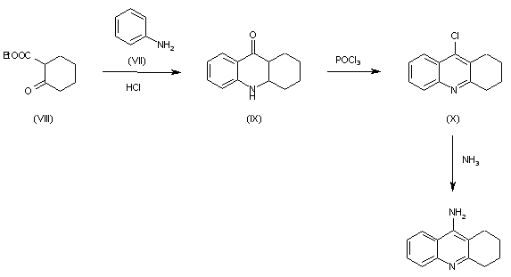
The cyclocondensation of aniline (VII) with ethyl 2-oxocyclo-hexanecarboxylate (VIII) by means of HCl in refluxing benzene gives 9-acridone (IX), which by treatment with refluxing POCl3 is converted to 9-chloroacridine (X). Finally, this compound is treated with anhydrous NH3 in p-cresol), or with ethanolic ammonia with a Cu catalyst.

合成路线图解说明:

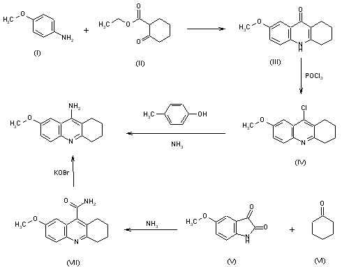
This compound can be prepared by two different methods: 1) By cyclocondensation of p-anisidine (I) with 2-oxocyclohexanecarboxylate (II) to 7-methoxy-1,2,3,4-tetrahydroacridone (III), which by treatment with refluxing POCl3 is converted to 9-chloro-7-methoxy-1,2,3,4-tetrahydroacridine (IV). This compound is converted to final product by treatment with NH3 in refluxing p-cresol. 2) By cyclocondensation of 5-methoxyisatin (V) and cyclohexanone (VI) in concentrated aqueous ammonia at 150 C to 7-methoxy-1,2,3,4-tetrahydroacridine-9-carboxamide (VII), followed by a Hoffman degradation with potassium hypobromite.

参考文献No.97189
标题:Analogues of 9-amino-1,2,3,4-tetrahydroacridine
作者:Bielavsky, J.
来源:Coll Czech Chem Commun 1977,422802-7
合成路线图解说明:

By cyclocondensation of isatine (V) with cyclohexanone (II) and aqueous concentrated NH3 at 150 C in a pressure vessel to acridine-9-carboxamide (VI), followed by a Hoffman degradation with Br2 and sodium methoxide in methanol

合成路线图解说明:

This compound can be prepared by two different methods: 1) By cyclocondensation of p-anisidine (I) with 2-oxocyclohexanecarboxylate (II) to 7-methoxy-1,2,3,4-tetrahydroacridone (III), which by treatment with refluxing POCl3 is converted to 9-chloro-7-methoxy-1,2,3,4-tetrahydroacridine (IV). This compound is converted to final product by treatment with NH3 in refluxing p-cresol. 2) By cyclocondensation of 5-methoxyisatin (V) and cyclohexanone (VI) in concentrated aqueous ammonia at 150 C to 7-methoxy-1,2,3,4-tetrahydroacridine-9-carboxamide (VII), followed by a Hoffman degradation with potassium hypobromite.

参考文献No.114543
标题:7-MEOTA
作者:Dejmek, L.
来源:Drugs Fut 1990,15(2),126
合成路线图解说明:

This compound can be prepared by two different methods: 1) By cyclocondensation of p-anisidine (I) with 2-oxocyclohexanecarboxylate (II) to 7-methoxy-1,2,3,4-tetrahydroacridone (III), which by treatment with refluxing POCl3 is converted to 9-chloro-7-methoxy-1,2,3,4-tetrahydroacridine (IV). This compound is converted to final product by treatment with NH3 in refluxing p-cresol. 2) By cyclocondensation of 5-methoxyisatin (V) and cyclohexanone (VI) in concentrated aqueous ammonia at 150 C to 7-methoxy-1,2,3,4-tetrahydroacridine-9-carboxamide (VII), followed by a Hoffman degradation with potassium hypobromite.

Drug Information Express,Drug R&D,Chemical Database,Patent Search.
Copyright © 2006-2026 Drug Future. All rights reserved.Contact Us