【药物名称】Granisetron hydrochloride, BRL-43694, Kytril
化学结构式(Chemical Structure):
参考文献No.5314
标题:Indazolyl carboxylic acid amides useful for treating migraine clusters headache, trigeminal neuralgia or emesis
作者:King, F.D. (SmithKline Beecham plc)
来源:AU 8656579; EP 0200444; EP 0223385; EP 0498466; ES 8707948; JP 1986275276; JP 1993194508; US 4886808; US 5034398
合成路线图解说明:

The synthesis of granisetron has been reported: The reaction of 1-methylindazole-3-carboxylic acid (I) with oxalyl chloride and DMF in dichloromethane gives 1-methylindazole-3-carbonyl chloride (II), which is then condensed with endo-9-methyl-9-azabicyclo[3.3.1]nonan-3-amine (III) by means of triethylamine in dichloromethane.

参考文献No.103408
标题:5-HT3 RECEPTOR ANTAGONISTS
作者:King, F.D.; Sanger, G.J.
来源:Drugs Fut 1989,14(9),875
合成路线图解说明:

The synthesis of granisetron has been reported: The reaction of 1-methylindazole-3-carboxylic acid (I) with oxalyl chloride and DMF in dichloromethane gives 1-methylindazole-3-carbonyl chloride (II), which is then condensed with endo-9-methyl-9-azabicyclo[3.3.1]nonan-3-amine (III) by means of triethylamine in dichloromethane.

参考文献No.123714
标题:5-Hydroxytryptamine (5-HT3) receptor antagonists. 1. Indazole and indolizine-3-carboxylic acid derivatives
作者:Bermudez, J.,; Fake, C.S.; Joiner, G.F.; Joiner, K.A.; King, F.D.; Miner, W.D.; Sanger, G.J.
来源:J Med Chem 1990,33(7),1924-9
合成路线图解说明:

The synthesis of granisetron has been reported: The reaction of 1-methylindazole-3-carboxylic acid (I) with oxalyl chloride and DMF in dichloromethane gives 1-methylindazole-3-carbonyl chloride (II), which is then condensed with endo-9-methyl-9-azabicyclo[3.3.1]nonan-3-amine (III) by means of triethylamine in dichloromethane.

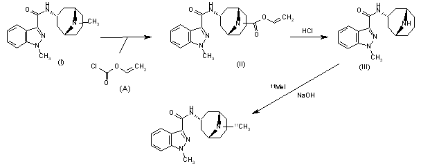
参考文献No.472994
标题:Synthesis of [C-11]granisetron, a possible positron emission tomography ligand for 5-HT3 receptor studies
作者:Vandersteene, I.; Dierckx, R.A.; Slegers, G.; Audenaert, K.
来源:J Label Compd Radiopharm 1998,41(3),171
合成路线图解说明:

A synthesis of [11C]-granisetron has been published: The desmethylation of granisetron (I) with vinyl chloroformate in refluxing dichloroethane gives the intermediate vinyl ester (II), which is decarboxylated with dry HCl in dichloromethane yielding the desmethylgranisetron (III). Finally, this compound is methylated with [11C]-methyl iodide and NaOH in DMF at 145 C.

参考文献No.900129
标题:
作者:
来源:GB 2125398
合成路线图解说明:

The synthesis of granisetron has been reported: The reaction of 1-methylindazole-3-carboxylic acid (I) with oxalyl chloride and DMF in dichloromethane gives 1-methylindazole-3-carbonyl chloride (II), which is then condensed with endo-9-methyl-9-azabicyclo[3.3.1]nonan-3-amine (III) by means of triethylamine in dichloromethane.

Drug Information Express,Drug R&D,Chemical Database,Patent Search.
Copyright © 2006-2026 Drug Future. All rights reserved.Contact Us