【药物名称】Umespirone, KC-9172
化学结构式(Chemical Structure):
参考文献No.5821
标题:Novel tetraoxo cpds
作者:Sch鰊, U.; Kehrbach, W.; Benson, W.; Fuchs, A.; Ruhland, M. (Kali-Chemie AG)
来源:AU 8661619; DE 3529872; EP 0212551; ES 8801271; ES 8801272; US 4771044
合成路线图解说明:

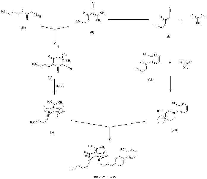
For the synthesis of umespirone the following synthesis pathway was chosen: Acetone is condensed with ethyl cyanoethanoate (I) to yield ethylisopropylidenecyanoacetate (II). This product is reacted with N-butylcyanoacetamide (III) in sodium methoxide solution to give N-butyl-2,4-dicyano-3,3-dimethylglutarimide (IV). The glutarimide (IV) is cyclized with phosphoric acid to yield 3-butyl-9,9-dimethyl-3,7-diazabicyclo[3.3.1]nonane-2,4,6,8-tetraone (V). The quaternary salt (VIII) (R = CH3), prepared from 1-(2-methoxyphenyl)piperazine (VI) and 1,4-dibromobutane (VII), undergoes reaction with (V) in the presence of potassium carbonate to afford the free base KC-9172 (IX) (R = CH3).

参考文献No.137078
标题:Umespirone
作者:Kr鋒ling, H.; Krijzer, F.
来源:Drugs Fut 1991,16(5),437
合成路线图解说明:

For the synthesis of umespirone the following synthesis pathway was chosen: Acetone is condensed with ethyl cyanoethanoate (I) to yield ethylisopropylidenecyanoacetate (II). This product is reacted with N-butylcyanoacetamide (III) in sodium methoxide solution to give N-butyl-2,4-dicyano-3,3-dimethylglutarimide (IV). The glutarimide (IV) is cyclized with phosphoric acid to yield 3-butyl-9,9-dimethyl-3,7-diazabicyclo[3.3.1]nonane-2,4,6,8-tetraone (V). The quaternary salt (VIII) (R = CH3), prepared from 1-(2-methoxyphenyl)piperazine (VI) and 1,4-dibromobutane (VII), undergoes reaction with (V) in the presence of potassium carbonate to afford the free base KC-9172 (IX) (R = CH3).

Drug Information Express,Drug R&D,Chemical Database,Patent Search.
Copyright © 2006-2026 Drug Future. All rights reserved.Contact Us