【药物名称】AS-2646, AD-2646
化学结构式(Chemical Structure):
参考文献No.8391
标题:2-(4-Ethyl-1-piperazinyl)-4-phenylquinoline and its salts with acids, process for their preparation and their use as antidepressant agents
作者:Uno, H.; Nagai, Y.; Karasawa, T.; Furukawa, K. (Dainippon Pharmaceutical Co., Ltd.)
来源:DE 2912414
合成路线图解说明:

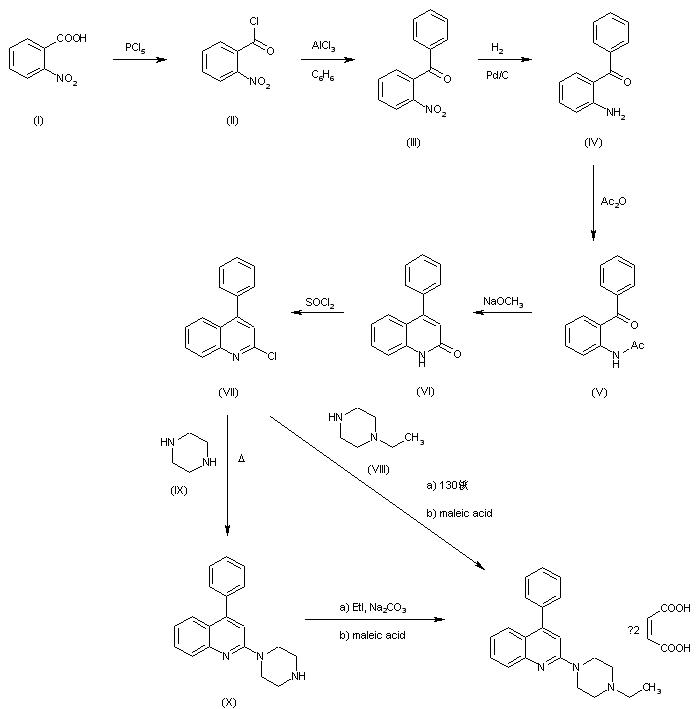
This compound can be prepared by two related ways: 1) The reaction of 2-nitrobenzoic acid (I) with PCl5 at 50 C gives the corresponding acyl chloride (II), which by a Friedel-Craft's condensation with benzene and AlCl3 yields 2-nitrobenzophenone (III). The reduction of (III) with H2 over Pd/C in ethanol affords 2-aminobenzophenone (IV), which is acylated with acetic anhydride sodium acetate to give 2-acetamidobenzophenone (V). The cyclization of (V) by means of sodium methoxide in refluxing ethanol yields 4-phenylquinoline-2(1H)-one (VI), which by reaction with SOCl2-DMF in hot CHCl3 is converted to 2-chloro-4-phenylquinoline (VII). Finally, this compound is condensed with N-ethylpiperazine (VIII) at 130 C. 2) Quinoline (VII) is condensed with piperazine (IX) as before to give 4-phenyl-2-(1-piperazinyl)quinoline (X), which is finally alkylated with ethyl iodide and sodium carbonate in refluxing butanone.

参考文献No.80323
标题:A novel class of antiulcer agents. 4-Phenyl-2-(1-piperazinyl)quinolines
作者:Uno, H.; Nagai, Y.; Hino, K.; Kawashima, K.; Oka, M.; Matsumoto, J.
来源:Chem Pharm Bull 1989,37(1),110
合成路线图解说明:

This compound can be prepared by two related ways: 1) The reaction of 2-nitrobenzoic acid (I) with PCl5 at 50 C gives the corresponding acyl chloride (II), which by a Friedel-Craft's condensation with benzene and AlCl3 yields 2-nitrobenzophenone (III). The reduction of (III) with H2 over Pd/C in ethanol affords 2-aminobenzophenone (IV), which is acylated with acetic anhydride sodium acetate to give 2-acetamidobenzophenone (V). The cyclization of (V) by means of sodium methoxide in refluxing ethanol yields 4-phenylquinoline-2(1H)-one (VI), which by reaction with SOCl2-DMF in hot CHCl3 is converted to 2-chloro-4-phenylquinoline (VII). Finally, this compound is condensed with N-ethylpiperazine (VIII) at 130 C. 2) Quinoline (VII) is condensed with piperazine (IX) as before to give 4-phenyl-2-(1-piperazinyl)quinoline (X), which is finally alkylated with ethyl iodide and sodium carbonate in refluxing butanone.

参考文献No.103341
标题:AD-2646
作者:Prous, J.; Casta馿r, J.
来源:Drugs Fut 1989,14(8),735
合成路线图解说明:

This compound can be prepared by two related ways: 1) The reaction of 2-nitrobenzoic acid (I) with PCl5 at 50 C gives the corresponding acyl chloride (II), which by a Friedel-Craft's condensation with benzene and AlCl3 yields 2-nitrobenzophenone (III). The reduction of (III) with H2 over Pd/C in ethanol affords 2-aminobenzophenone (IV), which is acylated with acetic anhydride sodium acetate to give 2-acetamidobenzophenone (V). The cyclization of (V) by means of sodium methoxide in refluxing ethanol yields 4-phenylquinoline-2(1H)-one (VI), which by reaction with SOCl2-DMF in hot CHCl3 is converted to 2-chloro-4-phenylquinoline (VII). Finally, this compound is condensed with N-ethylpiperazine (VIII) at 130 C. 2) Quinoline (VII) is condensed with piperazine (IX) as before to give 4-phenyl-2-(1-piperazinyl)quinoline (X), which is finally alkylated with ethyl iodide and sodium carbonate in refluxing butanone.

Drug Information Express,Drug R&D,Chemical Database,Patent Search.
Copyright © 2006-2026 Drug Future. All rights reserved.Contact Us