【药物名称】Ropivacaine, LEA-103(HCl), AL-281
化学结构式(Chemical Structure):
参考文献No.1018
标题:L-N-n-Propylpipecolic acid-2,6-xylidide and method for preparing the same
作者:T. af Ekenstam, B.; Bovin, C. (Alpharma Inc.)
来源:JP 1985502054; WO 8500599
合成路线图解说明:

Optical resolution of DL-pipecolinic acid (I) with (+)-tartaric acid gives L-pipecolinic acid (II), which is treated with PCl5 to obtain acil chloride (III). This compound is condensed with 2,5-dimethylaniline (IV) by means N-methylpirrolidine (NMP) to afford amide (V). Finally, amide (V) is alkylated with 1-bromopropane by means potassium carbonate (K2CO3) to yield Ropivacaine.

合成路线图解说明:

L-Picolinic acid (II) is protected with benzyl chloroformiate (VII) to afford compound (VIII), which is condensed with 2-methylaniline (IX) by means SOCl2/DMAP to yield amide (X). This compound (X) is methylated by treatment with palladium acetate (Pd(Oac)2) to obtain compound (XI), which is deprotected by means HBr to yield compound (V). Finally, this compound (V) is alkylated with 1-iodopropane by means potassium carbonate (K2CO3) to yield Ropivacaine.

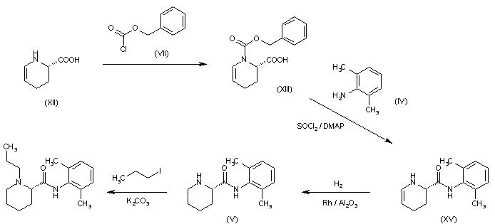
合成路线图解说明:

Compound (XII) is protected with benzyl chloroformiate (VII) to afford compound (XIII), which is condensed with 2,5-dimethylaniline (XIV) by means SOCl2/DMAP to yield amide (XIV). This compound (XIV) is deprotected by means trimethylsillyl chloride to yield compound (XV), which is hydrogenated by means Rh/Al2O3. Finally, this compound (V) is alkylated with 1-iodopropane by means potassium carbonate (K2CO3) to yield Ropivacaine.

参考文献No.7163
标题:S-(-)-1-propyl-2',6'-pipecoloxylidide hydrochloride monohydrate, process for its preparation and pharmaceutical preparation containing it
作者:Sandeberg, R.V. (AstraZeneca plc)
来源:EP 0239710; US 4870086
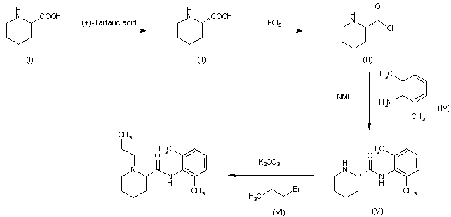
合成路线图解说明:

Optical resolution of DL-pipecolinic acid (I) with (+)-tartaric acid gives L-pipecolinic acid (II), which is treated with PCl5 to obtain acil chloride (III). This compound is condensed with 2,5-dimethylaniline (IV) by means N-methylpirrolidine (NMP) to afford amide (V). Finally, amide (V) is alkylated with 1-bromopropane by means potassium carbonate (K2CO3) to yield Ropivacaine.

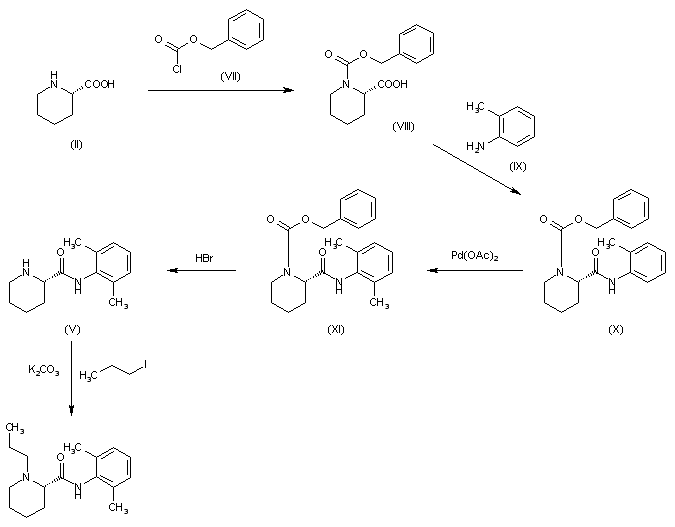
合成路线图解说明:

L-Picolinic acid (II) is protected with benzyl chloroformiate (VII) to afford compound (VIII), which is condensed with 2-methylaniline (IX) by means SOCl2/DMAP to yield amide (X). This compound (X) is methylated by treatment with palladium acetate (Pd(Oac)2) to obtain compound (XI), which is deprotected by means HBr to yield compound (V). Finally, this compound (V) is alkylated with 1-iodopropane by means potassium carbonate (K2CO3) to yield Ropivacaine.

合成路线图解说明:

Compound (XII) is protected with benzyl chloroformiate (VII) to afford compound (XIII), which is condensed with 2,5-dimethylaniline (XIV) by means SOCl2/DMAP to yield amide (XIV). This compound (XIV) is deprotected by means trimethylsillyl chloride to yield compound (XV), which is hydrogenated by means Rh/Al2O3. Finally, this compound (V) is alkylated with 1-iodopropane by means potassium carbonate (K2CO3) to yield Ropivacaine.

Drug Information Express,Drug R&D,Chemical Database,Patent Search.
Copyright © 2006-2026 Drug Future. All rights reserved.Contact Us