【药物名称】Mometasone furoate, S-2640, Sch-32088, Asmanex Twisthaler, Asmanex, Nasonex, Altosone, Fulmeta, Ecotone, Ecural, Elocon
化学结构式(Chemical Structure):
参考文献No.8386
标题:3,20-Dioxo-1,4-pregnanediene-17alpha-ol 17-aromatic heterocycle carboxylates
作者:Shapiro, E.L. (Schering Corp.)
来源:EP 0057401; US 4472393
合成路线图解说明:

The reaction of 9beta,11beta-epoxy-17alpha,21-dihydroxy-16alpha-methyl-1,4-pregnadiene-3,20-dione (I) with MsCl in pyridine gives the corresponding 21-mesylate (II), which is treated with LiCl in the same solvent to yield 21-chloro-9beta,11beta-epoxy-17alpha-hydroxy-16alpha-methyl-1,4-pregnadiene-3,20-dione (III). The esterification of (III) with 2-furoyl chloride (IV) and TEA affords the expected ester (IV), which is finally treated with anhydrous HCl in acetic acid in order to open the epoxide ring to provide the target mometasone furoate. A similar reaction sequence can be performed using p-toluenesulfonyl chloride instead of mesyl chloride in the first step of the sequence.

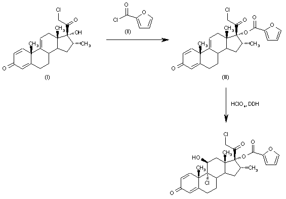
合成路线图解说明:

The esterification of 21-chloro-17alpha-hydroxy-16alpha-methyl-1,4,9(11)-pregnatriene-3,20-dione (I) with 2-furoyl chloride (II) by means of TEA gives the corresponding ester (III), which is then treated with HClO4 and 1,3-dichloro-5,5-dimethylhydantoin (DDH) in THF/water in order to add Cl-OH to the 9(11)-double bond of ester (III).

参考文献No.47790
标题:Process for the preparation of mometasone furoate
作者:Heggie, W.; Bandarra, J. (Hovione Sociedade Quimica SA)
来源:EP 1074558; JP 2001048897
合成路线图解说明:

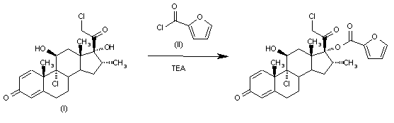
By esterification of mometasone (I) with 2-furoyl chloride (II) by means of TEA in dichloromethane.

参考文献No.48697
标题:Process for the preparation of 17-esters of 9alpha,21-dihalo-pregnane-11beta,17alpha-diol-20-ones
作者:Tann, C.-H.; Tsai, D.J.S.; Kwok, D.-I.; Fu, X. (Schering Corp.)
来源:WO 9800437
合成路线图解说明:

The reaction of 9beta,11beta-epoxy-17alpha,21-dihydroxy-16alpha-methyl-1,4-pregnadiene-3,20-dione (I) with MsCl in pyridine gives the corresponding 21-mesylate (II), which is treated with LiCl in the same solvent to yield 21-chloro-9beta,11beta-epoxy-17alpha-hydroxy-16alpha-methyl-1,4-pregnadiene-3,20-dione (III). The esterification of (III) with 2-furoyl chloride (IV) and TEA affords the expected ester (IV), which is finally treated with anhydrous HCl in acetic acid in order to open the epoxide ring to provide the target mometasone furoate. A similar reaction sequence can be performed using p-toluenesulfonyl chloride instead of mesyl chloride in the first step of the sequence.

Drug Information Express,Drug R&D,Chemical Database,Patent Search.
Copyright © 2006-2026 Drug Future. All rights reserved.Contact Us