【药物名称】Albendazole, SK&F-62979, Albenza, Eskazole, Valbazen(Veterinary), Zentel
化学结构式(Chemical Structure):
参考文献No.201792
标题:Albendazole
作者:Bogan, J.; Casta馿r, J.
来源:Drugs Fut 1977,2(2),81
合成路线图解说明:

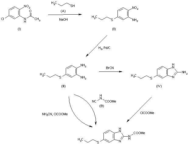
The condensation of 3-chloro-6-nitroacetanilide (I) with propylmercaptane (A) by means of aqueous refluxing NaOH gives 2-nitro-5-propylthioaniline (II), which was reduced with H2 over Pd/C in ethanol HCl to yield 4-propylthio-o-phenylenediamine (III). The cyclization of (III) with cyanogen bromide affords 2-amino-5-propylthiobenzimidazole (IV), which is finally condensed with methyl chloroformate. It can be condensed directly with a mixture of cyanamide and methyl chloroformate or with carbomethoxycyanamide (B). All these condensations are performed in basic medium.

参考文献No.701072
标题:Methyl 5-propylthio-2-benzimidazolecarbamate
作者:Gyurik, R.J.; Theodorides, V.J.
来源:DE 2527065; FR 2275203; GB 1464326; JP 51012936; US 3915986
合成路线图解说明:

The condensation of 3-chloro-6-nitroacetanilide (I) with propylmercaptane (A) by means of aqueous refluxing NaOH gives 2-nitro-5-propylthioaniline (II), which was reduced with H2 over Pd/C in ethanol HCl to yield 4-propylthio-o-phenylenediamine (III). The cyclization of (III) with cyanogen bromide affords 2-amino-5-propylthiobenzimidazole (IV), which is finally condensed with methyl chloroformate. It can be condensed directly with a mixture of cyanamide and methyl chloroformate or with carbomethoxycyanamide (B). All these condensations are performed in basic medium.

Drug Information Express,Drug R&D,Chemical Database,Patent Search.
Copyright © 2006-2026 Drug Future. All rights reserved.Contact Us