【药物名称】Methylprednisolone suleptanate, U-67590A, Medrosol, Promedrol
化学结构式(Chemical Structure):
参考文献No.8378
标题:Sulfonate containing ester prodrugs of corticosteroids
作者:Anderson, B.D.; Conradi, R.A. (Pharmacia Corp.)
来源:JP 1984137500; US 4472392
合成路线图解说明:

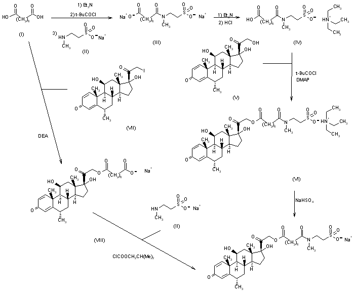
Methylprednisolone suleptanate with and without radiolabeling can be prepared by two different ways: 1) The reaction of suberic acid (I) with pivaloyl chloride and triethylamine followed by condensation with N-methyltaurine sodium salt (II) gives 8-oxo-8-[N-(2-sulfoethyl)-N-methylamino]octanoic acid (III), which is treated with triethylamine and HCl, affording the corresponding triethylammonium salt (IV). The condensation of (IV) with methylprednisolone (V) by means of pivaloyl chloride and dimethylaminopyridine (DMAP) in dichloromethane yields the intermediate triethylammonium salt (VI), which is finally treated with sodium hydrogen sulfate in water. 2) The reaction of 21-deoxy-21-iodomethylprednisolone (VII) with suberic acid (I) by means of diisopropylethylamine (DEA) in DMF yields the corresponding 21-hemisuberate (VIII), which is then condensed with N-methyltaurine sodium salt (II) by means of isobutyl chloroformate and triethylamine in THF.

参考文献No.33919
标题:Amine salts of alkane-1,n-dicarboxylic acid mono-(2-sulfato-ethyl)amides
作者:Pearlman, B.A. (Pharmacia Corp.)
来源:WO 8900558
合成路线图解说明:

Methylprednisolone suleptanate with and without radiolabeling can be prepared by two different ways: 1) The reaction of suberic acid (I) with pivaloyl chloride and triethylamine followed by condensation with N-methyltaurine sodium salt (II) gives 8-oxo-8-[N-(2-sulfoethyl)-N-methylamino]octanoic acid (III), which is treated with triethylamine and HCl, affording the corresponding triethylammonium salt (IV). The condensation of (IV) with methylprednisolone (V) by means of pivaloyl chloride and dimethylaminopyridine (DMAP) in dichloromethane yields the intermediate triethylammonium salt (VI), which is finally treated with sodium hydrogen sulfate in water. 2) The reaction of 21-deoxy-21-iodomethylprednisolone (VII) with suberic acid (I) by means of diisopropylethylamine (DEA) in DMF yields the corresponding 21-hemisuberate (VIII), which is then condensed with N-methyltaurine sodium salt (II) by means of isobutyl chloroformate and triethylamine in THF.

参考文献No.418850
标题:Methylprednisolone Suleptanate
作者:Graul, A.; Leeson, J.; Casta馿r, J.
来源:Drugs Fut 1997,22(8),833
合成路线图解说明:

Methylprednisolone suleptanate with and without radiolabeling can be prepared by two different ways: 1) The reaction of suberic acid (I) with pivaloyl chloride and triethylamine followed by condensation with N-methyltaurine sodium salt (II) gives 8-oxo-8-[N-(2-sulfoethyl)-N-methylamino]octanoic acid (III), which is treated with triethylamine and HCl, affording the corresponding triethylammonium salt (IV). The condensation of (IV) with methylprednisolone (V) by means of pivaloyl chloride and dimethylaminopyridine (DMAP) in dichloromethane yields the intermediate triethylammonium salt (VI), which is finally treated with sodium hydrogen sulfate in water. 2) The reaction of 21-deoxy-21-iodomethylprednisolone (VII) with suberic acid (I) by means of diisopropylethylamine (DEA) in DMF yields the corresponding 21-hemisuberate (VIII), which is then condensed with N-methyltaurine sodium salt (II) by means of isobutyl chloroformate and triethylamine in THF.

合成路线图解说明:

3) The title product labeled at 1, 2 and 4 positions is synthesized starting from [1,2,4-3H]-methylprednisolone and using the method described in the preceding paragraph to finally yield [1,2,4-3H]-methylprednisolone suleptanate. 4) The title product [14C]-labeled at the CO groups of the suberic acid is synthesized starting from methylprednisolone 21-O-mesylate (IX), which is condensed with [1,8-14C]-suberic acid (X) by means of diisopropyl ethylamine in DMF to yield the corresponding hemisuberate (XI). Finally, this compound is condensed with N-methyltaurine sodium salt (II) by means of isobutyl chloroformate as before.

合成路线图解说明:

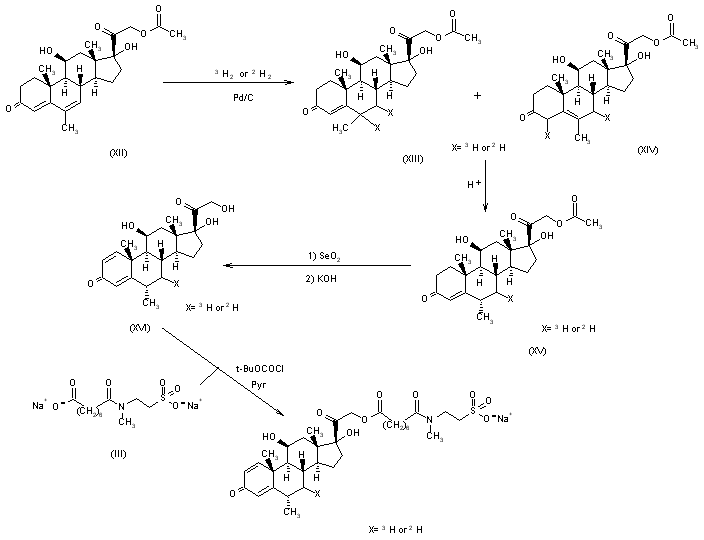
5) The title product [3H]- or [2H]-labeled at C7 of the steroid nucleus is synthesized starting from 21-acetoxy-11beta,17alpha-dihydroxy-6-methylpregna-4,6-diene-3,20-dione (XII), which is hydrogenated with tritium or deuterium over Pd/C in methanol yielding a mixture of the two isomeric dihydro compounds (XIII) and (XIV). The treatment of this mixture with 6N HCl affords compound (XV) labeled at C7, which is dehydrogenated with SeO2 in refluxing tert-butanol and deacetylated with KOH in methanol, yielding methylprednisolone labeled with 3H or 2H at C7 (XVI). Finally, this compound is condensed with 8-oxo-8-[N-(2-sulfoethyl)-N-methylamino]octanoic acid (III) by means of tert-butoxycarbonyl chloride as before.

合成路线图解说明:

6) The title product [14C]-labeled at C8 of the suberic acid moiety is synthesized starting from 7-bromoheptanoic acid (XVII), which is reduced with borane/dimethylsulfide complex in THF to 7-bromoheptanol (XVIII). The protection of (XVIII) with dihydropyran and p-toluenesulfonic acid affords the tetrahydropyranyl ether (XIX), which is condensed with [14C]-sodium cyanide to give 8-(tetrahydropyranyloxy)octanenitrile (XX). The hydrolysis of (XX) with 6N NaOH yields the corresponding protected acid (XXI), which is condensed with N-methyltaurine sodium salt (III) by means of carbonyldiimidazole (CDI) and deprotected in acidic medium to afford [1-14C]-8-hydroxy-N-methyl-N-(2-sulfoethyl)octanamide sodium salt (XXII). The oxidation of (XXII) with KMnO4 in water gives [8-14C]-8-oxo-8-[N-(2-sulfoethyl)-N-methylamino]octanoic acid (XXIII), which is finally condensed with methylprednisolone 21-O-mesylate (IX) in the usual way.

参考文献No.800932
标题:Strategies in the design of solution-stable, water-soluble prodrugs I: A physical-organic approach to pro-moiety selection for 21-esters of corticosteroids
作者:Anderson, B.D.; Conradi, R.A.; Knuth, K.E.
来源:J Pharm Sci 1985,74365-74
合成路线图解说明:

Methylprednisolone suleptanate with and without radiolabeling can be prepared by two different ways: 1) The reaction of suberic acid (I) with pivaloyl chloride and triethylamine followed by condensation with N-methyltaurine sodium salt (II) gives 8-oxo-8-[N-(2-sulfoethyl)-N-methylamino]octanoic acid (III), which is treated with triethylamine and HCl, affording the corresponding triethylammonium salt (IV). The condensation of (IV) with methylprednisolone (V) by means of pivaloyl chloride and dimethylaminopyridine (DMAP) in dichloromethane yields the intermediate triethylammonium salt (VI), which is finally treated with sodium hydrogen sulfate in water. 2) The reaction of 21-deoxy-21-iodomethylprednisolone (VII) with suberic acid (I) by means of diisopropylethylamine (DEA) in DMF yields the corresponding 21-hemisuberate (VIII), which is then condensed with N-methyltaurine sodium salt (II) by means of isobutyl chloroformate and triethylamine in THF.

参考文献No.800934
标题:Synthesis of carbon-14 and tritium labeled methylprednisolone suleptanate
作者:Stolle, W.T.; Runge, T.A.; Hsi, R.S.P.
来源:J Label Compd Radiopharm 1990,28255-80
合成路线图解说明:

3) The title product labeled at 1, 2 and 4 positions is synthesized starting from [1,2,4-3H]-methylprednisolone and using the method described in the preceding paragraph to finally yield [1,2,4-3H]-methylprednisolone suleptanate. 4) The title product [14C]-labeled at the CO groups of the suberic acid is synthesized starting from methylprednisolone 21-O-mesylate (IX), which is condensed with [1,8-14C]-suberic acid (X) by means of diisopropyl ethylamine in DMF to yield the corresponding hemisuberate (XI). Finally, this compound is condensed with N-methyltaurine sodium salt (II) by means of isobutyl chloroformate as before.

合成路线图解说明:

5) The title product [3H]- or [2H]-labeled at C7 of the steroid nucleus is synthesized starting from 21-acetoxy-11beta,17alpha-dihydroxy-6-methylpregna-4,6-diene-3,20-dione (XII), which is hydrogenated with tritium or deuterium over Pd/C in methanol yielding a mixture of the two isomeric dihydro compounds (XIII) and (XIV). The treatment of this mixture with 6N HCl affords compound (XV) labeled at C7, which is dehydrogenated with SeO2 in refluxing tert-butanol and deacetylated with KOH in methanol, yielding methylprednisolone labeled with 3H or 2H at C7 (XVI). Finally, this compound is condensed with 8-oxo-8-[N-(2-sulfoethyl)-N-methylamino]octanoic acid (III) by means of tert-butoxycarbonyl chloride as before.

合成路线图解说明:

6) The title product [14C]-labeled at C8 of the suberic acid moiety is synthesized starting from 7-bromoheptanoic acid (XVII), which is reduced with borane/dimethylsulfide complex in THF to 7-bromoheptanol (XVIII). The protection of (XVIII) with dihydropyran and p-toluenesulfonic acid affords the tetrahydropyranyl ether (XIX), which is condensed with [14C]-sodium cyanide to give 8-(tetrahydropyranyloxy)octanenitrile (XX). The hydrolysis of (XX) with 6N NaOH yields the corresponding protected acid (XXI), which is condensed with N-methyltaurine sodium salt (III) by means of carbonyldiimidazole (CDI) and deprotected in acidic medium to afford [1-14C]-8-hydroxy-N-methyl-N-(2-sulfoethyl)octanamide sodium salt (XXII). The oxidation of (XXII) with KMnO4 in water gives [8-14C]-8-oxo-8-[N-(2-sulfoethyl)-N-methylamino]octanoic acid (XXIII), which is finally condensed with methylprednisolone 21-O-mesylate (IX) in the usual way.

Drug Information Express,Drug R&D,Chemical Database,Patent Search.
Copyright © 2006-2026 Drug Future. All rights reserved.Contact Us