【药物名称】Limaprost alfadex, Limaprost alpha-cyclodextrin, OP-1206.alpha-CD, Ono-1206.alpha-CD, Prorenal, Opalmon
化学结构式(Chemical Structure):
参考文献No.636499
标题:Ono-1206
作者:Casta馿r, J.; Hillier, K.
来源:Drugs Fut 1982,7(2),116
合成路线图解说明:

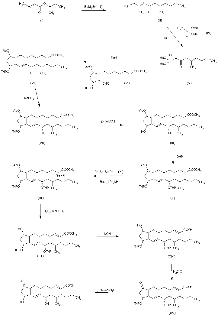
The reaction of sec-butyl crotonate (I) with butylmagnesium bromide (II) by means of Cu2Cl2 in refluxing ether gives sec-butyl 3-methylheptanoate (III), wich is condensed with dimethyl methylphosphonate (IV) by means of butyllithium in THF at -70 C to afford dimethyl 2-oxo-4-methylphosphonate (V). The Wittig condensation of (V) with 1alpha-acetoxy-2alpha-(6-methoxycarbonylhexyl)-3beta-formyl-4alpha(tetrahydropyranyloxy)cyclopentane (VI) by means of NaH inTHF yields methyl 9alpha-acetoxy-11alpha-(tetrahydropyranyloxy)-15-oxo-17,20-dimethylprost-trans-13-enoate (VII), which is reduced with NaBH4 in methanol to the 15-hydroxy compound (VIII). Selective hydrolysis of (VIII) with p-toluenesufonic acid in methanol gives the 11, 15-dihydroxy derivate (IX), which is then treated with dihydropyran and p-toluenesulfonic acid in methylene chloride to afford the bis-tetrahydropyranyloxy compound (X). The reactin of (X) with diphenydiselenide (XI) by means of butyllithium and diisopropylamine in THF at -70?affords the 2-phenylseleno compound (XII), which by treatment with H2O2 and NaHCO3 in ethyl acetate - THF is converted into methyl 9alpha-hidroxy-11alpha, 15lpha-bis(tetrahydropyranyloxy)-17S, 20-dimethylprosta-trans-2, trans-13-dienoate (XIII). The hydrolysis of (XIII) with KOH in ethanol gives the corresponding free acid (XIV), which is oxidized with CrO3 - H2SO4 - MnSO4 in water - ether to afford 9-oxo-11alpha, 15alpha-bis(tetrahydropyranyloxy)-17S, 20-dimethylprosta-trans-2, trans-13-dienoic acid (XV). Finally this compound is deprotected by treatment with hot aqueous acetic acid.

参考文献No.900164
标题:
作者:Hayashi, M.; Kori, S. Kori, S.; Ohyama, I.; Iguchi, S.; Okada, T. (Ono Pharmaceutical Co., Ltd.)
来源:GB 1545213
合成路线图解说明:

The reaction of sec-butyl crotonate (I) with butylmagnesium bromide (II) by means of Cu2Cl2 in refluxing ether gives sec-butyl 3-methylheptanoate (III), wich is condensed with dimethyl methylphosphonate (IV) by means of butyllithium in THF at -70 C to afford dimethyl 2-oxo-4-methylphosphonate (V). The Wittig condensation of (V) with 1alpha-acetoxy-2alpha-(6-methoxycarbonylhexyl)-3beta-formyl-4alpha(tetrahydropyranyloxy)cyclopentane (VI) by means of NaH inTHF yields methyl 9alpha-acetoxy-11alpha-(tetrahydropyranyloxy)-15-oxo-17,20-dimethylprost-trans-13-enoate (VII), which is reduced with NaBH4 in methanol to the 15-hydroxy compound (VIII). Selective hydrolysis of (VIII) with p-toluenesufonic acid in methanol gives the 11, 15-dihydroxy derivate (IX), which is then treated with dihydropyran and p-toluenesulfonic acid in methylene chloride to afford the bis-tetrahydropyranyloxy compound (X). The reactin of (X) with diphenydiselenide (XI) by means of butyllithium and diisopropylamine in THF at -70?affords the 2-phenylseleno compound (XII), which by treatment with H2O2 and NaHCO3 in ethyl acetate - THF is converted into methyl 9alpha-hidroxy-11alpha, 15lpha-bis(tetrahydropyranyloxy)-17S, 20-dimethylprosta-trans-2, trans-13-dienoate (XIII). The hydrolysis of (XIII) with KOH in ethanol gives the corresponding free acid (XIV), which is oxidized with CrO3 - H2SO4 - MnSO4 in water - ether to afford 9-oxo-11alpha, 15alpha-bis(tetrahydropyranyloxy)-17S, 20-dimethylprosta-trans-2, trans-13-dienoic acid (XV). Finally this compound is deprotected by treatment with hot aqueous acetic acid.

参考文献No.900165
标题:
作者:Hayashi, M.; Iguchi, S.; Okada, T. (Ono Pharmaceutical Co., Ltd.)
来源:DE 3002677 DE 3002677; FR 2447375; GB 2041368; JP 80100360
合成路线图解说明:

The reaction of sec-butyl crotonate (I) with butylmagnesium bromide (II) by means of Cu2Cl2 in refluxing ether gives sec-butyl 3-methylheptanoate (III), wich is condensed with dimethyl methylphosphonate (IV) by means of butyllithium in THF at -70 C to afford dimethyl 2-oxo-4-methylphosphonate (V). The Wittig condensation of (V) with 1alpha-acetoxy-2alpha-(6-methoxycarbonylhexyl)-3beta-formyl-4alpha(tetrahydropyranyloxy)cyclopentane (VI) by means of NaH inTHF yields methyl 9alpha-acetoxy-11alpha-(tetrahydropyranyloxy)-15-oxo-17,20-dimethylprost-trans-13-enoate (VII), which is reduced with NaBH4 in methanol to the 15-hydroxy compound (VIII). Selective hydrolysis of (VIII) with p-toluenesufonic acid in methanol gives the 11, 15-dihydroxy derivate (IX), which is then treated with dihydropyran and p-toluenesulfonic acid in methylene chloride to afford the bis-tetrahydropyranyloxy compound (X). The reactin of (X) with diphenydiselenide (XI) by means of butyllithium and diisopropylamine in THF at -70?affords the 2-phenylseleno compound (XII), which by treatment with H2O2 and NaHCO3 in ethyl acetate - THF is converted into methyl 9alpha-hidroxy-11alpha, 15lpha-bis(tetrahydropyranyloxy)-17S, 20-dimethylprosta-trans-2, trans-13-dienoate (XIII). The hydrolysis of (XIII) with KOH in ethanol gives the corresponding free acid (XIV), which is oxidized with CrO3 - H2SO4 - MnSO4 in water - ether to afford 9-oxo-11alpha, 15alpha-bis(tetrahydropyranyloxy)-17S, 20-dimethylprosta-trans-2, trans-13-dienoic acid (XV). Finally this compound is deprotected by treatment with hot aqueous acetic acid.

Drug Information Express,Drug R&D,Chemical Database,Patent Search.
Copyright © 2006-2026 Drug Future. All rights reserved.Contact Us