【药物名称】Afloqualone, HQ-495, Arofuto
化学结构式(Chemical Structure):
参考文献No.46770
标题:2-Fluoromethyl-3-o-tolyl-6-amino-4(3H)-quinazolinone
作者:Inoue, I.; Oine, T.; Yamada, Y.; Tani, J.; Ishida, R.; Ochiai, T. (Tanabe Seiyaku Co., Ltd.)
来源:BE 0853031; CH 605831; DE 2449113; FR 2247246; GB 1476698; JP 50064283; US 3966731
合成路线图解说明:

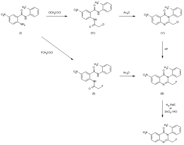
1) The acylation of N-(2-amino-5-nitrobenzoyl)-o-toluidine (I) with fluoroacetyl chloride by means of pyridine in THF gives N-(2-fluoroacetamido-5-nitrobenzoyl)-o-toluidine (II), which is cyclized by means of refluxing acetic anhydride acetic acid to yield 6-nitro-2-fluoromethyl-3-(o-tolyl)-4(3H)-quinazolinone (III). Finally, this compound is reduced with H2 over Pd/C in acetic acid or with SnCl2 - HCl in methanol - water. 2) The acylation of (I) with chloroacetyl chloride as before gives N-(2-chloroacetamido-5-nitro-benzoyl)-o-toluidine (IV), which is cyclized with acetic anhydride as before affording 6-nitro-2-chloromethyl-3-(o-tolyl)-4(3H)-quinazolinone (V). Finally, the treatment of (V) with KF in refluxing diethylene glycol yields (III).

参考文献No.56738
标题:Afloqualone
作者:Casta馿r, J.; Blancafort, P.; Serradell, M.N.; Sweetman, A.J.
来源:Drugs Fut 1982,7(8),539
合成路线图解说明:

1) The acylation of N-(2-amino-5-nitrobenzoyl)-o-toluidine (I) with fluoroacetyl chloride by means of pyridine in THF gives N-(2-fluoroacetamido-5-nitrobenzoyl)-o-toluidine (II), which is cyclized by means of refluxing acetic anhydride acetic acid to yield 6-nitro-2-fluoromethyl-3-(o-tolyl)-4(3H)-quinazolinone (III). Finally, this compound is reduced with H2 over Pd/C in acetic acid or with SnCl2 - HCl in methanol - water. 2) The acylation of (I) with chloroacetyl chloride as before gives N-(2-chloroacetamido-5-nitro-benzoyl)-o-toluidine (IV), which is cyclized with acetic anhydride as before affording 6-nitro-2-chloromethyl-3-(o-tolyl)-4(3H)-quinazolinone (V). Finally, the treatment of (V) with KF in refluxing diethylene glycol yields (III).

合成路线图解说明:

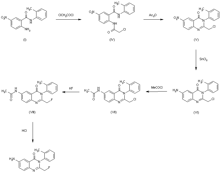
3) The reduction of (V) with SnCl2 as before gives 6-amino-2-chloromethyl-3-(o-tolyl)-4(3H)-quinazolinone (VI), which is acylated with acetyl chloride as before to yield 6-acetamido-2-chloromethyl-3-(o-tolyl)-4(3H)-quinazolinone (VII). The treatment of (VII) with KF in diethylene glycol at 160 C yields 6-acetamido-2-fluoromethyl-3-(o-tolyl)-4(3H)-quinazolinone (VIII), which is finally deprotected by treatment with HCl in methanol.

参考文献No.700822
标题:
作者:Inoue, I.; Oine, T.; Yamada, Y.; Tani, J.
来源:JP 76105083
合成路线图解说明:

1) The acylation of N-(2-amino-5-nitrobenzoyl)-o-toluidine (I) with fluoroacetyl chloride by means of pyridine in THF gives N-(2-fluoroacetamido-5-nitrobenzoyl)-o-toluidine (II), which is cyclized by means of refluxing acetic anhydride acetic acid to yield 6-nitro-2-fluoromethyl-3-(o-tolyl)-4(3H)-quinazolinone (III). Finally, this compound is reduced with H2 over Pd/C in acetic acid or with SnCl2 - HCl in methanol - water. 2) The acylation of (I) with chloroacetyl chloride as before gives N-(2-chloroacetamido-5-nitro-benzoyl)-o-toluidine (IV), which is cyclized with acetic anhydride as before affording 6-nitro-2-chloromethyl-3-(o-tolyl)-4(3H)-quinazolinone (V). Finally, the treatment of (V) with KF in refluxing diethylene glycol yields (III).

参考文献No.700823
标题:
作者:Inoue, I.; Oine, T.; Yamada, Y.; Tani, J.
来源:JP 76105082
合成路线图解说明:

3) The reduction of (V) with SnCl2 as before gives 6-amino-2-chloromethyl-3-(o-tolyl)-4(3H)-quinazolinone (VI), which is acylated with acetyl chloride as before to yield 6-acetamido-2-chloromethyl-3-(o-tolyl)-4(3H)-quinazolinone (VII). The treatment of (VII) with KF in diethylene glycol at 160 C yields 6-acetamido-2-fluoromethyl-3-(o-tolyl)-4(3H)-quinazolinone (VIII), which is finally deprotected by treatment with HCl in methanol.

Drug Information Express,Drug R&D,Chemical Database,Patent Search.
Copyright © 2006-2026 Drug Future. All rights reserved.Contact Us