【药物名称】Ioversol, MU-328(as syringe), MP-328, Optiject, Optiray
化学结构式(Chemical Structure):
参考文献No.5614
标题:Cpds. suitable for X-ray visualisation methods
作者:Lin, Y. (Mallinckrodt Medical Inc.)
来源:EP 0083964; US 4396598
合成路线图解说明:

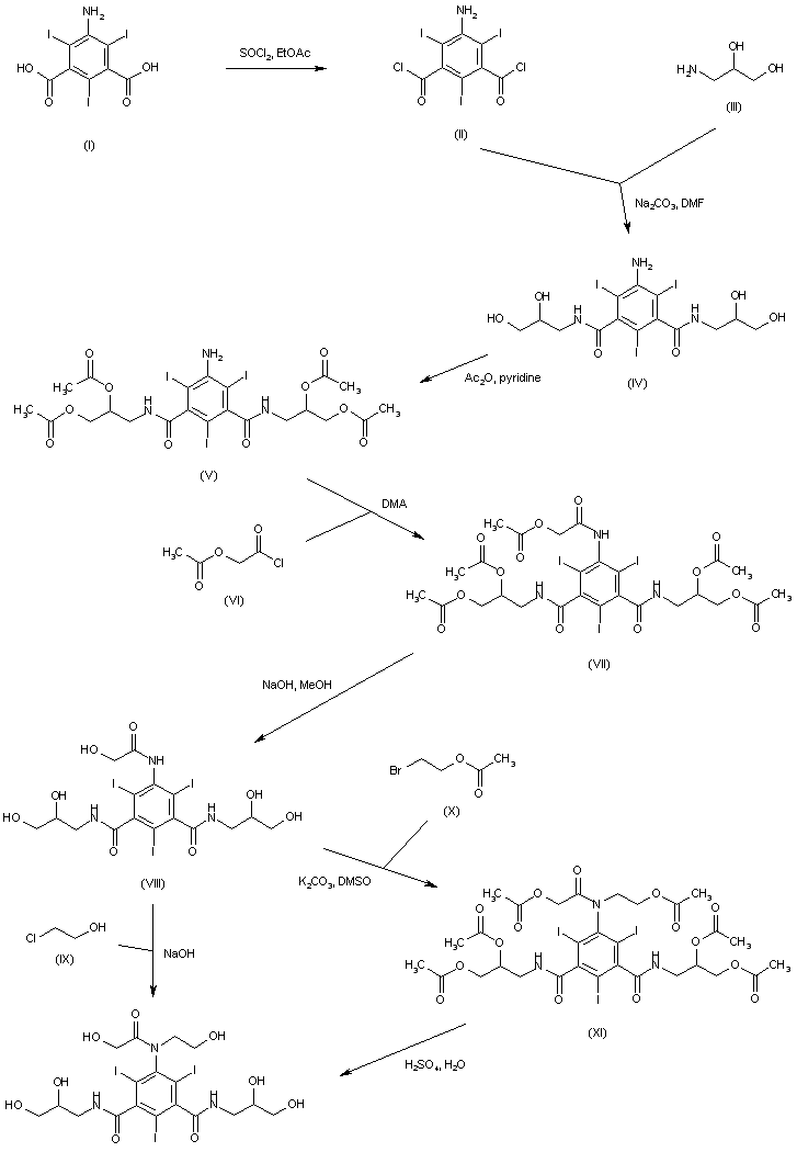
Chlorination of 5-amino-2,4,6-triiodoisophthalic acid (I) with SOCl2 in EtOAc or toluene affords acid chloride (II). Yields have been improved with the addition of benzyltriethylammonium chloride as a catalyst. Acid chloride (II) is then condensed with 3-amino-1,2-propanediol (III) to produce diamide (IV). Compound (IV) is converted to the tetraacetate ester (V) employing acetic anhydride in pyridine. Subsequent acylation of the amino group of (V) with acetoxyacetyl chloride (VI) gives amide (VII). After saponification of the ester groups of (VII), the resultant hydroxy acetamide (VIII) is alkylated by 2-chloroethanol (IX) to furnish the title compound. Alternatively, amide (VIII) is alkylated by bromoethyl acetate (X), producing (XI). Hexa-ester (XI) is finally hydrolyzed with aqueous sulfuric acid. An improved procedure for this final hydrolysis step uses 1,1,2-trichloroethane as co-solvent.

参考文献No.20018
标题:Synthesis of ioversol using chloroacetyl chloride
作者:McCarthy, W.Z.; Kneller, M.T.; Lin, Y.; White, D.H. (Mallinckrodt Medical Inc.)
来源:WO 9301840
合成路线图解说明:

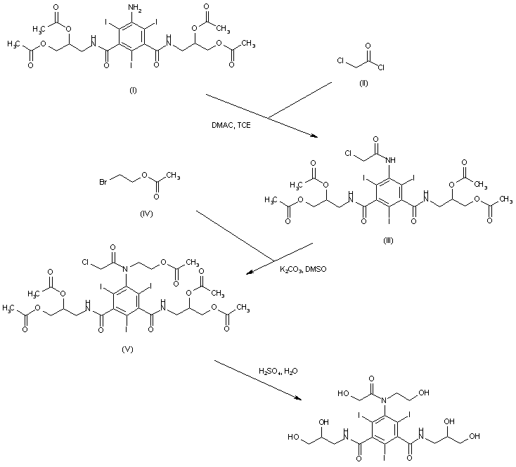
In an alternative procedure, the intermediate amino tetraacetate (I) is acylated by chloroacetyl chloride (II), yielding chloroacetamide (III). The amide N is then alkylated with bromoethyl acetate (IV) to produce (V). Simultaneous hydrolysis of the acetate esters and the chloro group in aqueous sulfuric acid furnishes the title compound.

合成路线图解说明:

Similarly, the tetrahydroxy amine (I) is acylated by chloroacetyl chloride (II) to produce the tetraester amide (III). After amide alkylation with bromoethyl acetate (IV), the resultant penta-ester (V) is hydrolyzed to the title compound using aqueous sulfuric acid.

参考文献No.33890
标题:Process for producing ioversol
作者:Dunn, T.J.; White, D.H.; Kneller, M.T.; Jones, M.M.; Doran, N.O. III; Bailey, A.R. (Mallinckrodt Medical Inc.)
来源:WO 9727172
合成路线图解说明:

Chlorination of 5-amino-2,4,6-triiodoisophthalic acid (I) with SOCl2 in EtOAc or toluene affords acid chloride (II). Yields have been improved with the addition of benzyltriethylammonium chloride as a catalyst. Acid chloride (II) is then condensed with 3-amino-1,2-propanediol (III) to produce diamide (IV). Compound (IV) is converted to the tetraacetate ester (V) employing acetic anhydride in pyridine. Subsequent acylation of the amino group of (V) with acetoxyacetyl chloride (VI) gives amide (VII). After saponification of the ester groups of (VII), the resultant hydroxy acetamide (VIII) is alkylated by 2-chloroethanol (IX) to furnish the title compound. Alternatively, amide (VIII) is alkylated by bromoethyl acetate (X), producing (XI). Hexa-ester (XI) is finally hydrolyzed with aqueous sulfuric acid. An improved procedure for this final hydrolysis step uses 1,1,2-trichloroethane as co-solvent.

参考文献No.58593
标题:Process for the preparation of 5-amino-2,4,6-triiodoisophthalic acid dichloride by chlorination with thionyl chloride in the presence of a catalyst
作者:Villa, M.; Castaldi, G.; Pozzoli, C.; Russo, L. (Zambon Group SpA)
来源:WO 9636590
合成路线图解说明:

Chlorination of 5-amino-2,4,6-triiodoisophthalic acid (I) with SOCl2 in EtOAc or toluene affords acid chloride (II). Yields have been improved with the addition of benzyltriethylammonium chloride as a catalyst. Acid chloride (II) is then condensed with 3-amino-1,2-propanediol (III) to produce diamide (IV). Compound (IV) is converted to the tetraacetate ester (V) employing acetic anhydride in pyridine. Subsequent acylation of the amino group of (V) with acetoxyacetyl chloride (VI) gives amide (VII). After saponification of the ester groups of (VII), the resultant hydroxy acetamide (VIII) is alkylated by 2-chloroethanol (IX) to furnish the title compound. Alternatively, amide (VIII) is alkylated by bromoethyl acetate (X), producing (XI). Hexa-ester (XI) is finally hydrolyzed with aqueous sulfuric acid. An improved procedure for this final hydrolysis step uses 1,1,2-trichloroethane as co-solvent.

参考文献No.58594
标题:Process for production of ioversol
作者:Lin, Y.; Dean, R.T.; Kneller, M.; Wallace, R.A.; McCarthy, W.Z.; White, D.H. (Mallinckrodt Medical Inc.)
来源:WO 9111431
合成路线图解说明:

Chlorination of 5-amino-2,4,6-triiodoisophthalic acid (I) with SOCl2 in EtOAc or toluene affords acid chloride (II). Yields have been improved with the addition of benzyltriethylammonium chloride as a catalyst. Acid chloride (II) is then condensed with 3-amino-1,2-propanediol (III) to produce diamide (IV). Compound (IV) is converted to the tetraacetate ester (V) employing acetic anhydride in pyridine. Subsequent acylation of the amino group of (V) with acetoxyacetyl chloride (VI) gives amide (VII). After saponification of the ester groups of (VII), the resultant hydroxy acetamide (VIII) is alkylated by 2-chloroethanol (IX) to furnish the title compound. Alternatively, amide (VIII) is alkylated by bromoethyl acetate (X), producing (XI). Hexa-ester (XI) is finally hydrolyzed with aqueous sulfuric acid. An improved procedure for this final hydrolysis step uses 1,1,2-trichloroethane as co-solvent.

参考文献No.58595
标题:Improved synthesis of ioversol
作者:Kneller, M.T.; Bailey, A.R.; Sathe, S.S.; Spears, A.T.; Wisneski, R.C. (Mallinckrodt Medical Inc.)
来源:WO 9323365
合成路线图解说明:

Chlorination of 5-amino-2,4,6-triiodoisophthalic acid (I) with SOCl2 in EtOAc or toluene affords acid chloride (II). Yields have been improved with the addition of benzyltriethylammonium chloride as a catalyst. Acid chloride (II) is then condensed with 3-amino-1,2-propanediol (III) to produce diamide (IV). Compound (IV) is converted to the tetraacetate ester (V) employing acetic anhydride in pyridine. Subsequent acylation of the amino group of (V) with acetoxyacetyl chloride (VI) gives amide (VII). After saponification of the ester groups of (VII), the resultant hydroxy acetamide (VIII) is alkylated by 2-chloroethanol (IX) to furnish the title compound. Alternatively, amide (VIII) is alkylated by bromoethyl acetate (X), producing (XI). Hexa-ester (XI) is finally hydrolyzed with aqueous sulfuric acid. An improved procedure for this final hydrolysis step uses 1,1,2-trichloroethane as co-solvent.

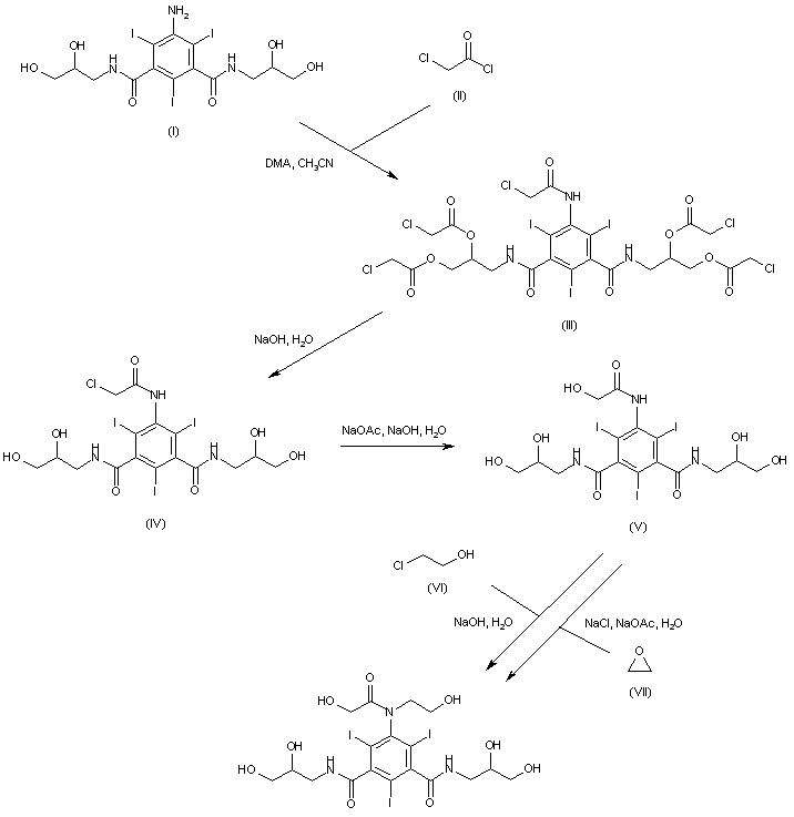
参考文献No.58596
标题:Process for producing ioversol
作者:Dunn, T.J.; Kneller, M.T.; White, D.H.; Jones, M.M.; Doran, N.O. (Mallinckrodt Medical Inc.)
来源:WO 9640286
合成路线图解说明:

In a related method, the intermediate tetrahydroxy amine (I) is acylated by chloroacetyl chloride (II) to produce the penta(chloroacetyl) derivative (III). The chloroacetate ester groups are then hydrolyzed under basic conditions to afford the tetra-hydroxy chloroacetamide (IV). Conversion of (IV) to the hydroxy acetamide (V) is accomplished by treatment with sodium acetate and NaOH. Amide (V) is finally alkylated with either chloroetanol (VI) or with ethylene oxide (VII) to furnish the title N-(hydroxyethyl) amide.

参考文献No.58597
标题:Synthesis of ioversol using a minimal excessof acetoxyacetylchloride
作者:Lin, Y.; Wallace, R.A.; McCarthy, W.Z.; Kneller, M.T.; White, D.H. (Mallinckrodt Medical Inc.)
来源:US 5371278
合成路线图解说明:

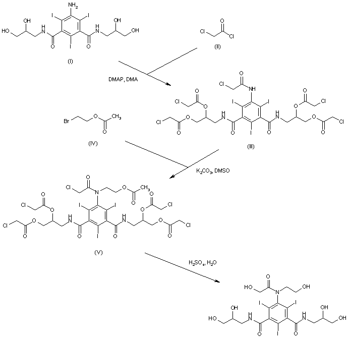
A further synthetic variation for the title compound is based on the acylation of intermediate (I) with acetoxyacetyl chloride (II) to afford (III). Amide alkylation with bromoethyl acetate (IV) furnishes (V). The ester groups of (V) are finally hydrolyzed in aqueous sulfuric acid.

参考文献No.58598
标题:Improved synthesis of ioversol using phosphoric acid modified co-addition
作者:Leibner, J.E. (Mallinckrodt Medical Inc.)
来源:WO 9535122
合成路线图解说明:

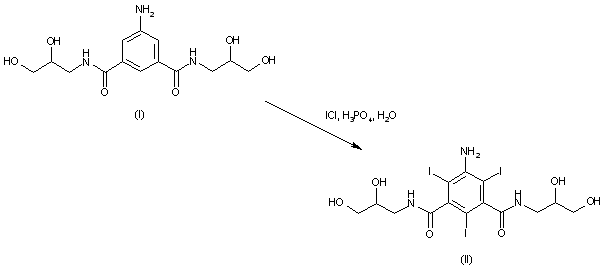
An improved method for the preparation of the iodinated precursor (II) has been reported. Thus, iodination of the amino isophthalamide (I) with iodine monochloride is performed with co-addition of phosphoric acid, to yield a higher purity triiodo derivative (II).

参考文献No.58599
标题:An N-alkylation
作者:Priebe, H. (Amersham plc)
来源:GB 2331098
合成路线图解说明:

In an improved method, the acetamido isophthalamide (I) is treated with boric acid and KOH to form the cyclic diborate tripotassium salt (II). Subsequent alkylation of (II) with 1-chloro-3-methoxy-2-propanol (III) yields regioselectively the N-alkylated acetamide (IV). The borate groups of (IV) are finally removed upon quenching with diluted HCl.

合成路线图解说明:

In a different strategy, the acetamido isophthalamide (I) is treated with boric acid and KOH to form the cyclic diborate tripotassium salt (II). Subsequent condensation of (II) with epichlorohydrin (III) yields the dimeric adduct (IV). The borate groups of (IV) are finally removed upon quenching with diluted HCl.

合成路线图解说明:

In an improved method, the acetamido isophthalamide (I) is treated with boric acid and KOH to form the cyclic diborate tripotassium salt (II). Subsequent alkylation of (II) with 2-chloroethanol (III) yields regioselectively the N-alkylated acetamide (IV). The borate groups of (IV) are finally removed upon quenching with diluted HCl.

参考文献No.134757
标题:Smiles rearrangement, a new synthetic pathway to the synthesis of 5-(hydroxyacyl)-amino-2,4,6-triiodoisophthalamides
作者:Musu, C.; Felder, E.; Fumagalli, L.; Piva, R.; Uggeri, F.
来源:Invest Radiol 1990,25(Suppl. 1),S100-1
合成路线图解说明:

Treatment of 5-amino-2,4,6-triiodo-1,3-benzenedicarboxylic acid (I) with thionyl chloride yields the dichloride (II). Compound (II) is treated with acetoxyacetyl chloride to give compound (III), which is methylated with iodomethane. Condensation with 3-amino-1,2-propanediol of the N-methyl derivative (IV) thus obtained, followed by deacetylation with alkali metal hydroxide, yields iomeprol.

合成路线图解说明:

In a different strategy, the target N-aryl hydroxy acetamide has been obtained by Smiles rearrangement of the aryloxy acetamide (I) under basic conditions.

参考文献No.707294
标题:Smiles rearrangement as a tool for the preparation of 5-[(2-hydroxyacyl)amino]-2,4,6-triiodo-1,3-benzenedicarboxamides: Main pathway and side reactions
作者:Anelli, P.L.; et al.
来源:Tetrahedron 1997,53(34),11919
合成路线图解说明:

In a different strategy, the target N-aryl hydroxy acetamide has been obtained by Smiles rearrangement of the aryloxy acetamide (I) under basic conditions.

参考文献No.707300
标题:A selective process for N-alkylation in competition with O-alkylation: Boric acid, borax, and metaborate as a cheap and effective protecting group applicable for industrial-scale synthetic processes
作者:Bjoersvik, H.-R.; et al.
来源:Org Process Res Dev 2001,5(5),472
合成路线图解说明:

In an improved method, the acetamido isophthalamide (I) is treated with boric acid and KOH to form the cyclic diborate tripotassium salt (II). Subsequent alkylation of (II) with 1-chloro-3-methoxy-2-propanol (III) yields regioselectively the N-alkylated acetamide (IV). The borate groups of (IV) are finally removed upon quenching with diluted HCl.

合成路线图解说明:

In a different strategy, the acetamido isophthalamide (I) is treated with boric acid and KOH to form the cyclic diborate tripotassium salt (II). Subsequent condensation of (II) with epichlorohydrin (III) yields the dimeric adduct (IV). The borate groups of (IV) are finally removed upon quenching with diluted HCl.

合成路线图解说明:

In an improved method, the acetamido isophthalamide (I) is treated with boric acid and KOH to form the cyclic diborate tripotassium salt (II). Subsequent alkylation of (II) with 2-chloroethanol (III) yields regioselectively the N-alkylated acetamide (IV). The borate groups of (IV) are finally removed upon quenching with diluted HCl.

Drug Information Express,Drug R&D,Chemical Database,Patent Search.
Copyright © 2006-2026 Drug Future. All rights reserved.Contact Us