【药物名称】HPMPA-(S)
化学结构式(Chemical Structure):
参考文献No.384482
标题:Synthesis of (S)-N1-(3-hydroxy-2-phosphonylmethoxy)propylcytosine, (S)-HPMPC
作者:Webb, R.R. II.; Wos, J.A.; Bronson, J.J.; Martin, J.C.
来源:Tetrahedron Lett 1996,29(43),5475
合成路线图解说明:

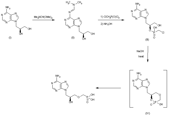
N6-Protected (S)-DHPA (II) was esterified with ClCH2P(O)Cl2, followed by hydrolysis with ammonia, to afford compound (III) as the major product. After purification, compound (III) were subjected to intramolecular cyclization, followed by alkaline hydrolysis, to produce (S)-HPMPA.

合成路线图解说明:

N6-Protected (S)-DHPA (II) was esterified with ClCH2P(O)Cl2, followed by hydrolysis with ammonia, to afford compound (III) as the minor product. After purification, compound (III) were subjected to intramolecular cyclization, followed by alkaline hydrolysis, to produce target compound.

参考文献No.804042
标题:A convenient synthesis of (S)-HMPA
作者:Webb, R. II; Martin, J.
来源:Tetrahedron Lett 1987,284963
合成路线图解说明:

N6-Protected (S)-DHPA (II) was esterified with ClCH2P(O)Cl2, followed by hydrolysis with ammonia, to afford compound (III) as the major product. After purification, compound (III) were subjected to intramolecular cyclization, followed by alkaline hydrolysis, to produce (S)-HPMPA.

合成路线图解说明:

N6-Protected (S)-DHPA (II) was esterified with ClCH2P(O)Cl2, followed by hydrolysis with ammonia, to afford compound (III) as the minor product. After purification, compound (III) were subjected to intramolecular cyclization, followed by alkaline hydrolysis, to produce target compound.

参考文献No.804043
标题:Novel phosphonate nucleosides as antiviral agents
作者:Hwang, J.-T.; Choi, J.-R.
来源:Drugs Fut 2004,29(2),163
合成路线图解说明:

N6-Protected (S)-DHPA (II) was esterified with ClCH2P(O)Cl2, followed by hydrolysis with ammonia, to afford compound (III) as the major product. After purification, compound (III) were subjected to intramolecular cyclization, followed by alkaline hydrolysis, to produce (S)-HPMPA.

合成路线图解说明:

PMEA was prepared by a straightforward route from readily available 2-acetoxyethoxymethyl chloride (I). The key intermediate, diethyl 2-bromoethylmethoxyphosphonate (IV), was coupled with adenine (V) in the presence of sodium hydride, followed by hydrolysis to afford PMEA.

合成路线图解说明:

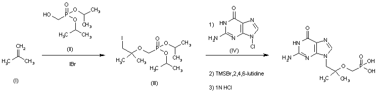
Reaction of isobutene (I) and diisopropyl phosphonylmethanol (II) in the presence of IBr as an electrophile afforded the phosphonate (III), which was converted to the desired 9-[2-methyl-2-(phosphonomethoxy)propyl]guanine (2',2'-dimethyl-PMEG).

合成路线图解说明:

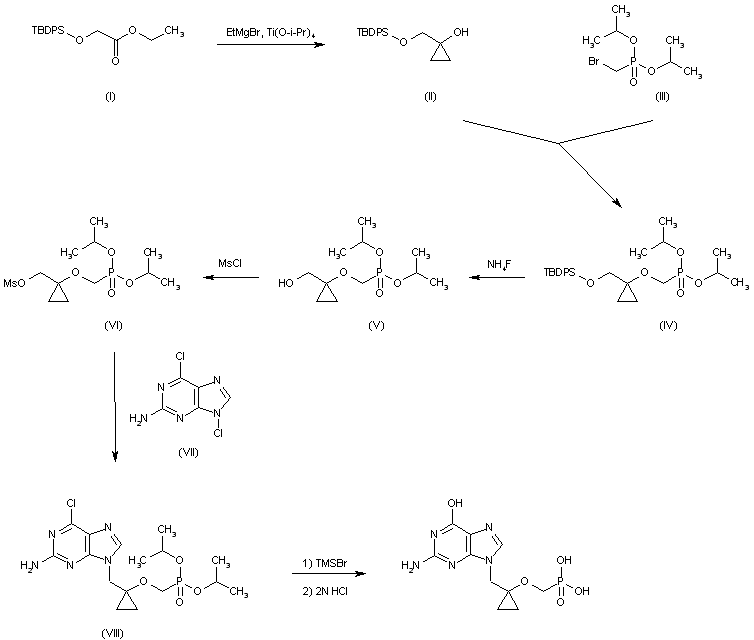
The key intermediate, cyclopropanol (I), was prepared by titanium-mediated Kulinkovich cyclopropanation in over 80% yield as a white solid. Etherification of compound (I) with diisopropyl bromomethylphosphonate, followed by sequential desilylation, mesylation and coupling reaction with 6-chloroguanine (VII), gave compound (VIII). Finally, hydrolysis of compound (VIII) in the presence of TMSBr afforded LB-80317.

合成路线图解说明:

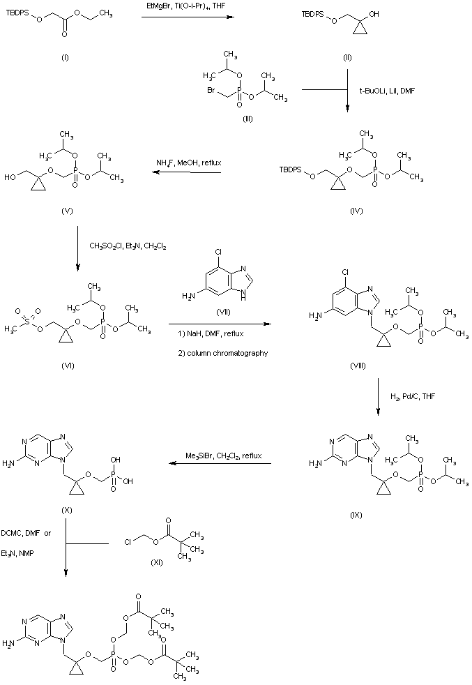
The silylated ethyl glycolate (I) is transformed into the cyclopropyl alcohol (II) by using the Kulinkovich reaction in the presence of ethylmagnesium bromide and titanium isopropoxide. Alcohol (II) is then condensed with diisopropyl (bromomethyl)phosphonate (III) to produce the alkoxymethyl phosphonate (IV). After desilylation of (IV) with ammonium fluoride, the free alcohol (V) is treated with methanesulfonyl chloride and triethylamine to provide mesylate (VI). Condensation of (VI) with 2-amino-6-chloropurine (VII) leads to the 9-substituted purine (VIII) as the major reaction product. Removal of the 6-chloro group of (VIII) by catalytic hydrogenolysis furnishes purine (IX). The phosphonate ester of (IX) is hydrolyzed to phosphonic acid (X) employing bromotrimethylsilane. Finally, condensation of (X) with chloromethyl pivalate (XI) in the presence of either N,N'-dicyclohexyl-4-morpholine-carboxamidine (DCMC) or triethylamine gives rise to the title compound

合成路线图解说明:

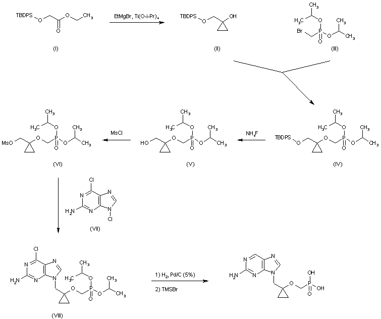
The key intermediate, cyclopropanol (I), was prepared by titanium-mediated Kulinkovich cyclopropanation in over 80% yield as a white solid. Etherification of compound (I) with diisopropyl bromomethylphosphonate, followed by sequential desilylation, mesylation and coupling reaction with 6-chloroguanine (VII), gave compound (VIII). Finally, hydrogenation of compound (VIII) in the presence of TMSBr afforded LB-80331.

合成路线图解说明:

N6-Protected (S)-DHPA (II) was esterified with ClCH2P(O)Cl2, followed by hydrolysis with ammonia, to afford compound (III) as the minor product. After purification, compound (III) were subjected to intramolecular cyclization, followed by alkaline hydrolysis, to produce target compound.

Drug Information Express,Drug R&D,Chemical Database,Patent Search.
Copyright © 2006-2026 Drug Future. All rights reserved.Contact Us