【药物名称】ICI-200880
化学结构式(Chemical Structure):
参考文献No.4871
标题:Peptide derivs
作者:Bergeson, S.H.; Schwartz, J.A.; Stein, M.M.; Wildonger, R.A.; Edwards, P.D.; Shaw, A.; Trainor, D.A.; Wolanin, D.J. (AstraZeneca LP)
来源:AU 8652623; EP 0189305; ES 8706169; ES 8707551; ES 8802526; JP 1986218518; JP 1993246984; US 4910190; US 5055450; US 5194588
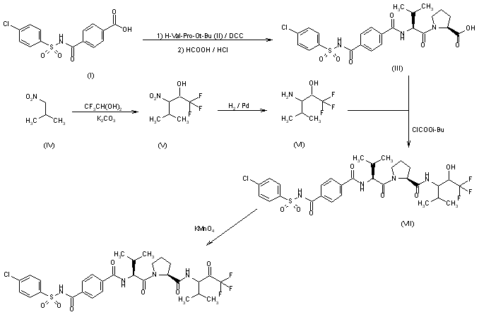
合成路线图解说明:

The synthetic sequence used for the manufacture of ICI 200,880 is as follows: Carbodiimide-mediated coupling of acid (I) with amine (II) followed by ester hydrolysis with HCl affords acid (III). The other key intermediate, amino alcohol (VI), is prepared via alkylation of nitro-alkane (IV) with trifluoroacetaldehyde followed by reduction of the resulting nitro alcohol (V). Coupling of acid (III) with amino alcohol (VI) followed by oxidation with KMnO4 affords ICI 200,880. Since ICI 200,880 is an amorphous solid, it cannot be purified by crystallization. However, when acid (III) is purified by crystallization as its calcium salt and amino alcohol (VI) is purified by flash distillation, then the final coupling and oxidation proceed to yield ICI 200,880 of excellent purity.

参考文献No.305586
标题:ICI 200880
作者:Edwards, P.D.
来源:Drugs Fut 1995,20(7),662
合成路线图解说明:

The synthetic sequence used for the manufacture of ICI 200,880 is as follows: Carbodiimide-mediated coupling of acid (I) with amine (II) followed by ester hydrolysis with HCl affords acid (III). The other key intermediate, amino alcohol (VI), is prepared via alkylation of nitro-alkane (IV) with trifluoroacetaldehyde followed by reduction of the resulting nitro alcohol (V). Coupling of acid (III) with amino alcohol (VI) followed by oxidation with KMnO4 affords ICI 200,880. Since ICI 200,880 is an amorphous solid, it cannot be purified by crystallization. However, when acid (III) is purified by crystallization as its calcium salt and amino alcohol (VI) is purified by flash distillation, then the final coupling and oxidation proceed to yield ICI 200,880 of excellent purity.

Drug Information Express,Drug R&D,Chemical Database,Patent Search.
Copyright © 2006-2026 Drug Future. All rights reserved.Contact Us