【药物名称】HWA-152
化学结构式(Chemical Structure):
参考文献No.47873
标题:Substd. pyridin-1-oxides, process for their preparation, medicines containing them and their use
作者:Greve, W.; Schindler, U.; Elben, U.; Rudolphi, K. (Aventis Pharma AG)
来源:DE 3514073
合成路线图解说明:

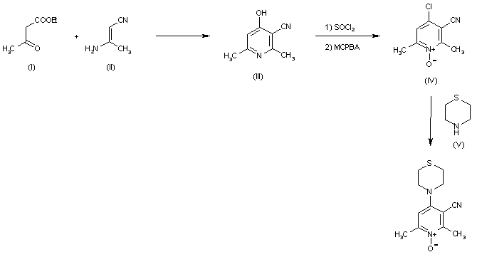
The cyclization of ethyl acetoacetate (I) with 3-amino-2-butenenitrile (II) gives 4-hydroxy-2,6-dimethylpyridine-3-carbonitrile (III), which is treated with SOCl2 and oxidized with MCPBA to yield 4-chloro-2,6-dimethylpyridine-3-carbonitrile N-oxide (IV). Finally, this compound is condensed with thiomorpholine (V) to afford the target compound.

参考文献No.47876
标题:4-Hydroxy-2,6-dimethylnicotinic acid esters
作者:Nemcova, D.; Janata, V.
来源:CS 147252
合成路线图解说明:

The cyclization of ethyl acetoacetate (I) with 3-amino-2-butenenitrile (II) gives 4-hydroxy-2,6-dimethylpyridine-3-carbonitrile (III), which is treated with SOCl2 and oxidized with MCPBA to yield 4-chloro-2,6-dimethylpyridine-3-carbonitrile N-oxide (IV). Finally, this compound is condensed with thiomorpholine (V) to afford the target compound.

参考文献No.109652
标题:SUBSTITUTED DIALKYLPYRIDINES AND THEIR N-OXIDES WITH AN ELECTRON-WITHDRAWING SUBSTITUENT
作者:Elben, U.
来源:Drugs Fut 1989,14(10),981
合成路线图解说明:

The cyclization of ethyl acetoacetate (I) with 3-amino-2-butenenitrile (II) gives 4-hydroxy-2,6-dimethylpyridine-3-carbonitrile (III), which is treated with SOCl2 and oxidized with MCPBA to yield 4-chloro-2,6-dimethylpyridine-3-carbonitrile N-oxide (IV). Finally, this compound is condensed with thiomorpholine (V) to afford the target compound.

合成路线图解说明:

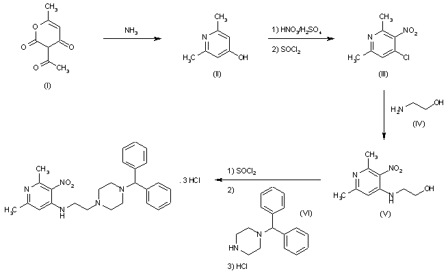
The reaction of 3-acetyl-6-methyl-3,4-dihydro-2H-pyran-2,4-dione (I) with ammonia gives 2,6-dimethylpyridin-4-ol (II), which is nitrated with HNO3/H2SO4 and treated with SOCl2 to yield 4-chloro-2,6-dimethyl-3-nitropyridine (III). The condensation of (III) with ethanolamine (IV) affords N-(2,6-dimethyl-3-nitropyridin-4-yl)ethanolamine (V), which is finally condensed with 1-(diphenylmethyl)piperazine (VI) by means of SOCl2 and treated with HCl to furnish the target trihydrochloride.

Drug Information Express,Drug R&D,Chemical Database,Patent Search.
Copyright © 2006-2026 Drug Future. All rights reserved.Contact Us