【药物名称】Technetium (99mTc) exametazime, [99mTc]-HMPAO, HMPAO-[99mTc], Ceretec
化学结构式(Chemical Structure):
参考文献No.5520
标题:Complexes of technetium-99m with propylene amine oximes
作者:Nowotnik, D.P.; Canning, L.R.; Neirinckx, R.D.; Piper, I.M. (Amersham plc)
来源:EP 0194843; JP 1986225159; US 4789736
合成路线图解说明:

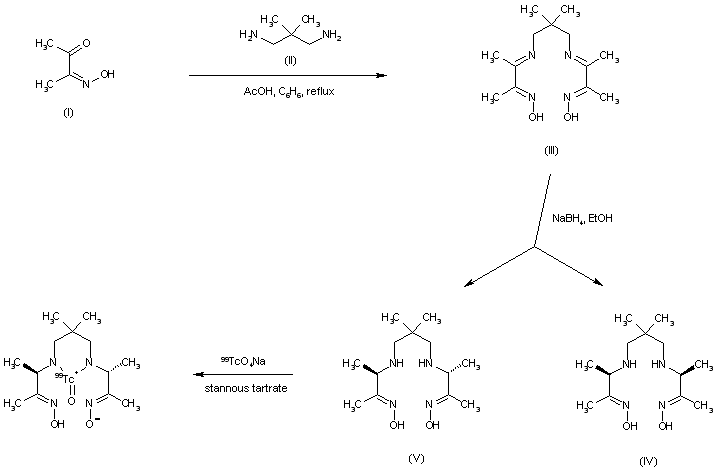
Condensation of 2,3-butanedione monooxime (I) with 2,2,-dimethyl-1,3-propanediamine (II) affords the bis-imine adduct (III). Subsequent reduction of the imine functions of (III) using NaBH4 in EtOH gives rise to a mixture of the meso-diamine (IV) and the racemic d,l-isomers (V). Separation of this mixture is achieved by either HPLC or fractional crystallization from acetonitrile and then from ethyl acetate. The target 99mtechnetium complex is prepared in situ by reduction of a solution of 99mTc-pertechnetate with stannous tartrate in the presence of the diamino dioxime ligand (V).

参考文献No.296576
标题:Separation of the stereoisomers of hexamethyl-propyleneamine oxime (HM-PAO) by high-performance liquid chromatography
作者:Nowotnik, D.P.; et al.
来源:J Liq Chromatogr 1995,18(4),673
合成路线图解说明:

Condensation of 2,3-butanedione monooxime (I) with 2,2,-dimethyl-1,3-propanediamine (II) affords the bis-imine adduct (III). Subsequent reduction of the imine functions of (III) using NaBH4 in EtOH gives rise to a mixture of the meso-diamine (IV) and the racemic d,l-isomers (V). Separation of this mixture is achieved by either HPLC or fractional crystallization from acetonitrile and then from ethyl acetate. The target 99mtechnetium complex is prepared in situ by reduction of a solution of 99mTc-pertechnetate with stannous tartrate in the presence of the diamino dioxime ligand (V).

参考文献No.702470
标题:Development of a 99Tcm-labelled radiopharmaceutical for cerebral blood flow imaging
作者:Nowotnik, D.P.; Canning, L.R.; Cumming, S.A.; Harrison, R.C.; Higley, B.; Nechvatal, G.; Pickett, R.D.; Piper, I.M.; Bayne, V.J.; Forster, A.M.; et al.
来源:Nucl Med Commun 1985,6(9),499
合成路线图解说明:

Condensation of 2,3-butanedione monooxime (I) with 2,2,-dimethyl-1,3-propanediamine (II) affords the bis-imine adduct (III). Subsequent reduction of the imine functions of (III) using NaBH4 in EtOH gives rise to a mixture of the meso-diamine (IV) and the racemic d,l-isomers (V). Separation of this mixture is achieved by either HPLC or fractional crystallization from acetonitrile and then from ethyl acetate. The target 99mtechnetium complex is prepared in situ by reduction of a solution of 99mTc-pertechnetate with stannous tartrate in the presence of the diamino dioxime ligand (V).

Drug Information Express,Drug R&D,Chemical Database,Patent Search.
Copyright © 2006-2026 Drug Future. All rights reserved.Contact Us