【药物名称】E-5110
化学结构式(Chemical Structure):
参考文献No.5505
标题:2-Pyrrolidone derivatives, process for preparing them, pharmaceutical compositions and use
作者:Ikuta, H.; Yamagishi, Y.; Akasaka, K.; Yamatsu, I.; Kobayashi, S.; Shirota, H.; Katayamaa, K. (Eisai Co., Ltd.)
来源:AU 8656766; EP 0204964; ES 8800148; JP 1986257967; US 4833160
合成路线图解说明:

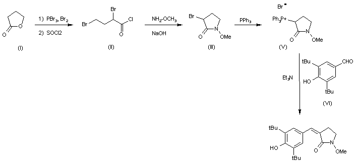
The reaction of gamma-butyrolactone (I) with Br2 and PBr3 at 100 C followed by a treatment with SOCl2 gives 2,4-dibromobutanoyl chloride (II), which is condensed with O-methylhydroxylamine by means of NaOH in CHCl3 yielding N-methoxy-3-bromopyrrolidin-2-one (III). The reaction of (III) with triphenylphosphine (IV) in hot THF affords the triphenylphosphonium salt (V), which is finally condensed with 3,5-di(tert-butyl)-4-hydroxybenzaldehyde (VI) by means of triethylamine in hot ethanol.

参考文献No.80597
标题:E-5110
作者:Prous, J.; Casta馿r, J.
来源:Drugs Fut 1989,14(4),307
合成路线图解说明:

The reaction of gamma-butyrolactone (I) with Br2 and PBr3 at 100 C followed by a treatment with SOCl2 gives 2,4-dibromobutanoyl chloride (II), which is condensed with O-methylhydroxylamine by means of NaOH in CHCl3 yielding N-methoxy-3-bromopyrrolidin-2-one (III). The reaction of (III) with triphenylphosphine (IV) in hot THF affords the triphenylphosphonium salt (V), which is finally condensed with 3,5-di(tert-butyl)-4-hydroxybenzaldehyde (VI) by means of triethylamine in hot ethanol.

参考文献No.80681
标题:Synthesis and antiinflammatory activities of 3-(3,5-di-tert-butyl-4-hydroxybenzylidene)pyrrolidin-2-ones
作者:Shirota, H.; Yamatsu, I.; Yamada, K.; Yomagishi, Y.; Katayama, K.; Kobayashi, S.; Ikuta, H.
来源:J Med Chem 1987,30(11),1995
合成路线图解说明:

The reaction of gamma-butyrolactone (I) with Br2 and PBr3 at 100 C followed by a treatment with SOCl2 gives 2,4-dibromobutanoyl chloride (II), which is condensed with O-methylhydroxylamine by means of NaOH in CHCl3 yielding N-methoxy-3-bromopyrrolidin-2-one (III). The reaction of (III) with triphenylphosphine (IV) in hot THF affords the triphenylphosphonium salt (V), which is finally condensed with 3,5-di(tert-butyl)-4-hydroxybenzaldehyde (VI) by means of triethylamine in hot ethanol.

Drug Information Express,Drug R&D,Chemical Database,Patent Search.
Copyright © 2006-2026 Drug Future. All rights reserved.Contact Us