【药物名称】Clipoxamine hydrochloride, Cliropamine hydrochloride, D-16427
化学结构式(Chemical Structure):
参考文献No.62410
标题:D-16427
作者:Engel, J.; Thiemer, K.; Stroman, F.; Klinger, K.H.; Dieter, R.; Oepen, G.; Metzenauer, P.
来源:Drugs Fut 1988,13(3),212
合成路线图解说明:

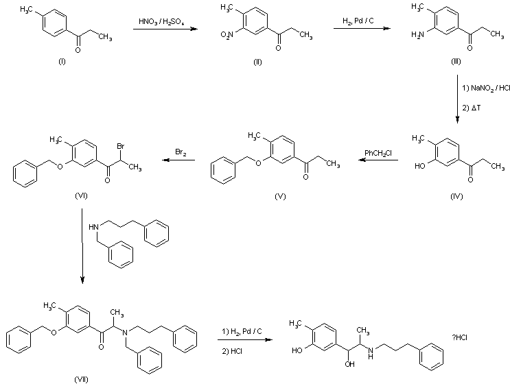
Reaction of 4-methylpropiophenone (I) with nitrating acid yields 4-methyl-3-nitropropiophenone (II), which is reduced to the corresponding aniline derivative (III) by means of catalytic hydrogenation. Diazotation of (III) followed by heating the aqueous solution of the intermediate diazonium salt affords 3 hydroxy-4-methylpropiophenone (IV), which is protected by etherification with benzyl chloride giv ing 3-benzyloxy-4-methylpropiophenone (V). Bromination of (V) and subsequent reaction of the resulting a bromoketone (VI) with N-benzyl-N-(3-phenylpropyl)amine yields the tertiary amine (VII), which is finally debenzylated and reduced by catalytic hydrogenation over Pd/C.

参考文献No.803916
标题:
作者:Bickel, E.; Engel, J.; Sch鰊enberger, H.; Klingler, K.H.
来源:Arch Pharm 1986,3191113
合成路线图解说明:

Reaction of 4-methylpropiophenone (I) with nitrating acid yields 4-methyl-3-nitropropiophenone (II), which is reduced to the corresponding aniline derivative (III) by means of catalytic hydrogenation. Diazotation of (III) followed by heating the aqueous solution of the intermediate diazonium salt affords 3 hydroxy-4-methylpropiophenone (IV), which is protected by etherification with benzyl chloride giv ing 3-benzyloxy-4-methylpropiophenone (V). Bromination of (V) and subsequent reaction of the resulting a bromoketone (VI) with N-benzyl-N-(3-phenylpropyl)amine yields the tertiary amine (VII), which is finally debenzylated and reduced by catalytic hydrogenation over Pd/C.

Drug Information Express,Drug R&D,Chemical Database,Patent Search.
Copyright © 2006-2026 Drug Future. All rights reserved.Contact Us