【药物名称】Dexrazoxane, ADR-529, NSC-169780, ICRF-187(HCl)
化学结构式(Chemical Structure):
参考文献No.79469
标题:ICRF-187
作者:Eastland, G.
来源:Drugs Fut 1987,12(11),1017
合成路线图解说明:

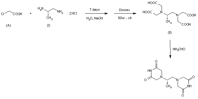
(rac)-1,2-Diaminopropane is resolved using (-)-L-tartaric acid. The bitartrate salt is treated with HCl to give the dihydrochloride salt, (-)-S-1,2-diaminopropane dihydrochloride (I). (I) in water is added to a solution of chloroacetic acid and sodium hydroxide below 20 C, and allowed to stand at room temperature for 7 days. After concentration and filtration, the product is isolated by passing the filtrate down an ion exchange column and eluting with water. The portion of the eluate containing the bulk of the optical activity is concentrated by heating. Crystals of (+)-(S)-1,2-propylene dinitrilotetraacetic acid (II) are obtained by filtration. (II) is heated under nitrogen for 20 h at 165 C to give (+)-(S)-1,2-di(piperazine-2,6-dione)propane.

参考文献No.700321
标题:NS-2330 enters phase IIb in Alzheimer's disease
作者:
来源:J Pharm Sci 1976,65238-242
合成路线图解说明:

(rac)-1,2-Diaminopropane is resolved using (-)-L-tartaric acid. The bitartrate salt is treated with HCl to give the dihydrochloride salt, (-)-S-1,2-diaminopropane dihydrochloride (I). (I) in water is added to a solution of chloroacetic acid and sodium hydroxide below 20 C, and allowed to stand at room temperature for 7 days. After concentration and filtration, the product is isolated by passing the filtrate down an ion exchange column and eluting with water. The portion of the eluate containing the bulk of the optical activity is concentrated by heating. Crystals of (+)-(S)-1,2-propylene dinitrilotetraacetic acid (II) are obtained by filtration. (II) is heated under nitrogen for 20 h at 165 C to give (+)-(S)-1,2-di(piperazine-2,6-dione)propane.

Drug Information Express,Drug R&D,Chemical Database,Patent Search.
Copyright © 2006-2026 Drug Future. All rights reserved.Contact Us