【药物名称】Tiracizine hydrochloride, GS-015, AWD-19-166, Bonnecor
化学结构式(Chemical Structure):
参考文献No.5450
标题:Process for the preparation of novel 10,11-dihydro-5H-dibenz[b,f]azepines and their salts
作者:Carstens, E.; Wunderlich, H.; Stark, A.; Kayerina, N.; Senova, S.P.; Lystkovzev, V.V.; Jermakova, S.I.; Grizenko, A.N.; Skoldinov, A.P. (Arzneimittelwerk Dresden GmbH)
来源:DE 3040085
合成路线图解说明:

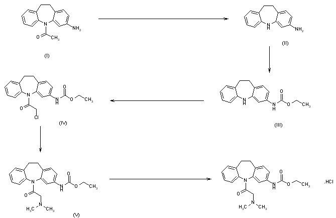
Reaction of 3-amino-5-acetyl-10,11-dihydro-5H-dibenz[b,f]azepine (I) with potassium hydroxide in n-propanol yields 3-amino-10,11-dihydro-5H-dibenz[b,f]azepine (II), which reacts with ethyl chloroformate to give 3-carbethoxyamino-10,11-dihydro-5H-dibenz[b,f]azepine (III). Reaction of (III) with chloroacetylchloride yields 3-carbethoxyamino-5-chloroacetyl-10,11-dihydro-5H-dibenz[b,f]azepine (IV), which is then reacted with dimethylamine to give 3-carbethoxyamino-5-dimethylaminoacetyl-10,11-dihydro-5H-dibenz[b,f] azepine (tiracizine) (V), with m.p. 135-7 C. Tiracizine hydrochloride is obtained by reaction of the base with hydrochloric acid in isopropanol.

参考文献No.148125
标题:Tiracizine Hydrochloride
作者:Rejholec, V.
来源:Drugs Fut 1991,16(9),818
合成路线图解说明:

Reaction of 3-amino-5-acetyl-10,11-dihydro-5H-dibenz[b,f]azepine (I) with potassium hydroxide in n-propanol yields 3-amino-10,11-dihydro-5H-dibenz[b,f]azepine (II), which reacts with ethyl chloroformate to give 3-carbethoxyamino-10,11-dihydro-5H-dibenz[b,f]azepine (III). Reaction of (III) with chloroacetylchloride yields 3-carbethoxyamino-5-chloroacetyl-10,11-dihydro-5H-dibenz[b,f]azepine (IV), which is then reacted with dimethylamine to give 3-carbethoxyamino-5-dimethylaminoacetyl-10,11-dihydro-5H-dibenz[b,f] azepine (tiracizine) (V), with m.p. 135-7 C. Tiracizine hydrochloride is obtained by reaction of the base with hydrochloric acid in isopropanol.

参考文献No.161354
标题:Synthesis of new antiarrhythmic compound
作者:Wunderlich, H.; Stark, A.; Loman, D.; Skoldinov, A.P.; Gritsenko, A.N.; Carstens, E.
来源:Bonnecor. Khim Farm Zh SSSR 1990,24(12),51
合成路线图解说明:

Reaction of 3-amino-5-acetyl-10,11-dihydro-5H-dibenz[b,f]azepine (I) with potassium hydroxide in n-propanol yields 3-amino-10,11-dihydro-5H-dibenz[b,f]azepine (II), which reacts with ethyl chloroformate to give 3-carbethoxyamino-10,11-dihydro-5H-dibenz[b,f]azepine (III). Reaction of (III) with chloroacetylchloride yields 3-carbethoxyamino-5-chloroacetyl-10,11-dihydro-5H-dibenz[b,f]azepine (IV), which is then reacted with dimethylamine to give 3-carbethoxyamino-5-dimethylaminoacetyl-10,11-dihydro-5H-dibenz[b,f] azepine (tiracizine) (V), with m.p. 135-7 C. Tiracizine hydrochloride is obtained by reaction of the base with hydrochloric acid in isopropanol.

Drug Information Express,Drug R&D,Chemical Database,Patent Search.
Copyright © 2006-2026 Drug Future. All rights reserved.Contact Us