【药物名称】Loperamide oxide, JKD-584, R-58425, Arestal
化学结构式(Chemical Structure):
参考文献No.5428
标题:Novel alpha,alpha-diaryl-4-aryl-4-hydroxy-1-piperidinebutanamide, N-oxides
作者:Cooymans, L.P.; Wals, L. (Janssen Pharmaceutica NV)
来源:EP 0219898; JP 1987087569; US 4824853; US 4898873
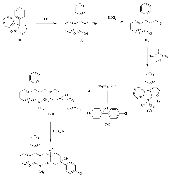
合成路线图解说明:

Treatment of 2-oxo-3,3-diphenyl-tetrahydrofuran (I) with HBr(g) yields bromo derivative (II), which is then converted into butyryl chloride derivative (III) by means of thionyl chloride in refluxing chloroform. Reaction of derivative (III) with dimethylamine (IV) in toluene affords dimethyl (tetrahydro-3,3-diphenyl-2-furylidene)ammonium bromide (V), which is then condensed with 4-(4-chlorophenyl)-4-piperidinol (VI) by means of Na2CO3 and KI in refluxing 4-methyl-2-pentanone to provide N,N-dimethyl butyramide derivative (VII). Finally, the target product is obtained by N-oxidation of the piperidine ring in (VII) by heating with H2O2 in MeOH/methylbenzene or in 4-methyl-2-pentanone.

参考文献No.50676
标题:2,2-Diaryl-4-(4'-aryl-4'-hydroxy-piperidino)-butyramides
作者:Niemegeers, C.J.E.J.; Janssen, P.A.J.; Stokbroekx, R.A.; Vandenberk, J. (Janssen Pharmaceutica NV)
来源:US 3714159
合成路线图解说明:

Treatment of 2-oxo-3,3-diphenyl-tetrahydrofuran (I) with HBr(g) yields bromo derivative (II), which is then converted into butyryl chloride derivative (III) by means of thionyl chloride in refluxing chloroform. Reaction of derivative (III) with dimethylamine (IV) in toluene affords dimethyl (tetrahydro-3,3-diphenyl-2-furylidene)ammonium bromide (V), which is then condensed with 4-(4-chlorophenyl)-4-piperidinol (VI) by means of Na2CO3 and KI in refluxing 4-methyl-2-pentanone to provide N,N-dimethyl butyramide derivative (VII). Finally, the target product is obtained by N-oxidation of the piperidine ring in (VII) by heating with H2O2 in MeOH/methylbenzene or in 4-methyl-2-pentanone.

Drug Information Express,Drug R&D,Chemical Database,Patent Search.
Copyright © 2006-2026 Drug Future. All rights reserved.Contact Us