【药物名称】LY-255262
化学结构式(Chemical Structure):
参考文献No.47874
标题:Substd. diazolidinones
作者:Jungheim, L.N.; Holmes, R.E. (Eli Lilly and Company)
来源:US 4826993
合成路线图解说明:

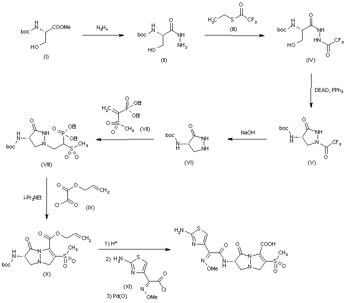
The reaction of N-(tert-butoxycarbonyl)-L-serine methyl ester (I) with hydrazine gives the corresponding hydrazide (II), which is acylated with trifluorothioacetic acid S-ethyl ester (III), yielding the diacylated hydrazine (IV). The cyclization of (IV) by means of DEAD and PPh3 affords the pyrazolidinone (V), which is deacylated with NaOH to furnish 4(S)-(tert-butoxycarbonyl)pyrazolidin-3-one (VI). The condensation of (VI) with vinylphosphonate (VII) gives the adduct (VIII), which is cyclized with the oxalyl monoester chloride (IX) by means of DIEA, yielding the pyrazolopyrazole (X). Finally, this compound is deprotected in acid medium and acylated with thiazole derivative (XI) by means of a Pd(0) catalyst to furnish the target compound.

合成路线图解说明:

The reaction of N-(tert-butoxycarbonyl)-L-serine methyl ester (I) with hydrazine gives the corresponding hydrazide (II), which is acylated with trifluorothioacetic acid S-ethyl ester (III), yielding the diacylated hydrazine (IV). The cyclization of (IV) by means of DEAD and PPh3 affords the pyrazolidinone (V), which is deacylated with NaOH to furnish 4(S)-(tert-butoxycarbonyl)pyrazolidin-3-one (VI). The condensation of (VI) with vinylphosphonate (VII) gives the adduct (VIII), which is cyclized with the oxalyl monoester chloride (IX) by means of DIEA, yielding the pyrazolopyrazole (X). Finally, this compound is deprotected in acid medium and acylated with thiazole derivative (XI) by means of a Pd(0) catalyst to furnish the target compound.

参考文献No.114554
标题:BICYCLIC PYRAZOLIDINONE ANTIBACTERIAL AGENTS
作者:Jungheim, L.N.; Ternansky, R.J.; Holmes, R.E.
来源:Drugs Fut 1990,15(2),149
合成路线图解说明:

The reaction of N-(tert-butoxycarbonyl)-L-serine methyl ester (I) with hydrazine gives the corresponding hydrazide (II), which is acylated with trifluorothioacetic acid S-ethyl ester (III), yielding the diacylated hydrazine (IV). The cyclization of (IV) by means of DEAD and PPh3 affords the pyrazolidinone (V), which is deacylated with NaOH to furnish 4(S)-(tert-butoxycarbonyl)pyrazolidin-3-one (VI). The condensation of (VI) with vinylphosphonate (VII) gives the adduct (VIII), which is cyclized with the oxalyl monoester chloride (IX) by means of DIEA, yielding the pyrazolopyrazole (X). Finally, this compound is deprotected in acid medium and acylated with thiazole derivative (XI) by means of a Pd(0) catalyst to furnish the target compound.

合成路线图解说明:

The reaction of N-(tert-butoxycarbonyl)-L-serine methyl ester (I) with hydrazine gives the corresponding hydrazide (II), which is acylated with trifluorothioacetic acid S-ethyl ester (III), yielding the diacylated hydrazine (IV). The cyclization of (IV) by means of DEAD and PPh3 affords the pyrazolidinone (V), which is deacylated with NaOH to furnish 4(S)-(tert-butoxycarbonyl)pyrazolidin-3-one (VI). The condensation of (VI) with vinylphosphonate (VII) gives the adduct (VIII), which is cyclized with the oxalyl monoester chloride (IX) by means of DIEA, yielding the pyrazolopyrazole (X). Finally, this compound is deprotected in acid medium and acylated with thiazole derivative (XI) by means of a Pd(0) catalyst to furnish the target compound.

合成路线图解说明:

The cyclization of N-(tert-butoxycarbonyl)-O-(p-toluenesulfonyl)serine (I) with hydrazine gives the pyrazolidinone (II), which by reaction with formaldehyde yields the ylide (III). The cyclization of (III) with the vinyl sulfone (IV) by means of NMM affords the bicyclic pyrazolidinone (V), which is deprotected in acid medium, then condensed with the acid chloride (VI) and treated with a Pd(0) catalyst.

参考文献No.803871
标题:The synthesis of bicyclic pyrazolidinone antibacterial agents
作者:Ternansky, R.J.; Draheim, S.E.
来源:30th Nat Org Symp (Vancouver) 1987,
合成路线图解说明:

The reaction of N-(tert-butoxycarbonyl)-L-serine methyl ester (I) with hydrazine gives the corresponding hydrazide (II), which is acylated with trifluorothioacetic acid S-ethyl ester (III), yielding the diacylated hydrazine (IV). The cyclization of (IV) by means of DEAD and PPh3 affords the pyrazolidinone (V), which is deacylated with NaOH to furnish 4(S)-(tert-butoxycarbonyl)pyrazolidin-3-one (VI). The condensation of (VI) with vinylphosphonate (VII) gives the adduct (VIII), which is cyclized with the oxalyl monoester chloride (IX) by means of DIEA, yielding the pyrazolopyrazole (X). Finally, this compound is deprotected in acid medium and acylated with thiazole derivative (XI) by means of a Pd(0) catalyst to furnish the target compound.

合成路线图解说明:

The reaction of N-(tert-butoxycarbonyl)-L-serine methyl ester (I) with hydrazine gives the corresponding hydrazide (II), which is acylated with trifluorothioacetic acid S-ethyl ester (III), yielding the diacylated hydrazine (IV). The cyclization of (IV) by means of DEAD and PPh3 affords the pyrazolidinone (V), which is deacylated with NaOH to furnish 4(S)-(tert-butoxycarbonyl)pyrazolidin-3-one (VI). The condensation of (VI) with vinylphosphonate (VII) gives the adduct (VIII), which is cyclized with the oxalyl monoester chloride (IX) by means of DIEA, yielding the pyrazolopyrazole (X). Finally, this compound is deprotected in acid medium and acylated with thiazole derivative (XI) by means of a Pd(0) catalyst to furnish the target compound.

Drug Information Express,Drug R&D,Chemical Database,Patent Search.
Copyright © 2006-2026 Drug Future. All rights reserved.Contact Us