【药物名称】Icoduline hydrochloride, CBS-113 A
化学结构式(Chemical Structure):
参考文献No.5389
标题:N-Substd. 2-amino-thiazoles, process for their pre
作者:Alazet, A.; Bonne, C.; Coquelet, C.; Sincholle, D. (Chauvin Laboratories SA)
来源:EP 0202157; ES 8900045; FR 2581063; JP 1987077375; US 4785008
合成路线图解说明:

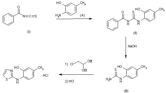
Condensation of benzoil isothiocyanate (I) with 6-amino-m-cresol in refluxing acetone gives N-benzoyl-N'-(2-hydroxy-4-methylphenyl)thiourea (II), which is hydrolyzed with sodium hydroxide to afford N-(2-hydroxy-4-methyl(phenyl)thiourea (III). Thiazolyl ring closure is obtained by addition of chloroacetaldehyde diethylacetal in refluxing ethanol catalyzed by p-toluenesulfonic acid. 2-(2-Hydroxy-4-methylphenyl)aminothiazole is then converted to its hydrochloride sait by bubbling gaseous hydrochloric acid.

参考文献No.56412
标题:CBS-113 A
作者:Coquelet, C.; Bonne, C.
来源:Drugs Fut 1987,12(6),525
合成路线图解说明:

Condensation of benzoil isothiocyanate (I) with 6-amino-m-cresol in refluxing acetone gives N-benzoyl-N'-(2-hydroxy-4-methylphenyl)thiourea (II), which is hydrolyzed with sodium hydroxide to afford N-(2-hydroxy-4-methyl(phenyl)thiourea (III). Thiazolyl ring closure is obtained by addition of chloroacetaldehyde diethylacetal in refluxing ethanol catalyzed by p-toluenesulfonic acid. 2-(2-Hydroxy-4-methylphenyl)aminothiazole is then converted to its hydrochloride sait by bubbling gaseous hydrochloric acid.

Drug Information Express,Drug R&D,Chemical Database,Patent Search.
Copyright © 2006-2026 Drug Future. All rights reserved.Contact Us