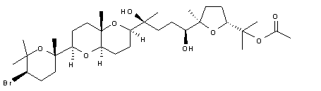
【药物名称】Thyrsiferyl 23-acetate, TF-23A
化学结构式(Chemical Structure):
参考文献No.595147
标题:Total synthesis of tryrsiferyl 23-acetate, a specific inhibitor of protein phosphatase 2A and anti-leukemic inducer of apoptosis
作者:Forsyth, G.J.; Gonz醠ez, I.C.
来源:J Am Chem Soc 2000,122(38),9099
合成路线图解说明:

The reaction of (S)-linalool (I) with 2,4,4,6-tetrabromocyclohexa-2,5-dienone (TBCO) in nitromethane gives a mixture of tetrahydrofuran (II) and tetrahydropyran (III), which are separated by chromatography. The vinyl group of (III) is oxidized with OsO4 and NaIO4, yielding a diastereomeric mixture of aldehydes that is separated by chromatography to afford the target aldehydic intermediate (IV).

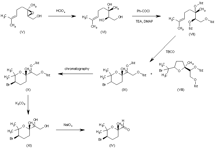
合成路线图解说明:

The regio- and stereoselective hydrolysis of (2R,3R)-epoxygeraniol (V) with HClO4 in THF/water gives the trihydroxy compound (VI), which is selectively benzoylated with benzoyl chloride, TEA and DMAP to yield the dibenzoate (VII). The reaction of (VII) with TBCO in nitromethane affords a mixture of tetrahydrofuran (VIII) and tetrahydropyran (IX), which are separated by chromatography. The desired isomer (X) is hydrolyzed with K2CO3 in methanol to provide the alpha-diol (XI), which is finally oxidized with NaIO4 in THF/water to furnish the target aldehydic intermediate (IV).

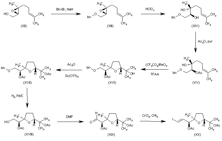
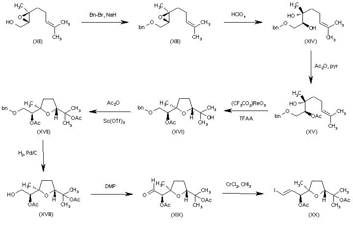
合成路线图解说明:

The tetrahydrofuran intermediate (XX) has been obtained as follows: The reaction of (2S,3S)-epoxygeraniol (XII) with Bn-Br and NaH in THF gives the benzyl ether (XIII), which is treated with NaClO4 to yield the diol (XIV). The selective monoacetylation of (XI) with Ac2O and pyridine affords the monoacetate (XV), which is cyclized by means of (CF3CO2)ReO3 and TFAA to provide the tetrahydrofuran (XVI). The acetylation of the tertiary alcohol of (XVI) with Ac2O and Sc(OTf)3 gives the diacetate (XVII), which is debenzylated with H2 over Pd/C to yield the primary alcohol (XVIII). The oxidation of (XVIII) with DMP affords the carbaldehyde (XIX), which is finally condensed with iodoform and CrCl2 to furnish the target iodovinyl-tetrahydrofuran intermediate (XX).

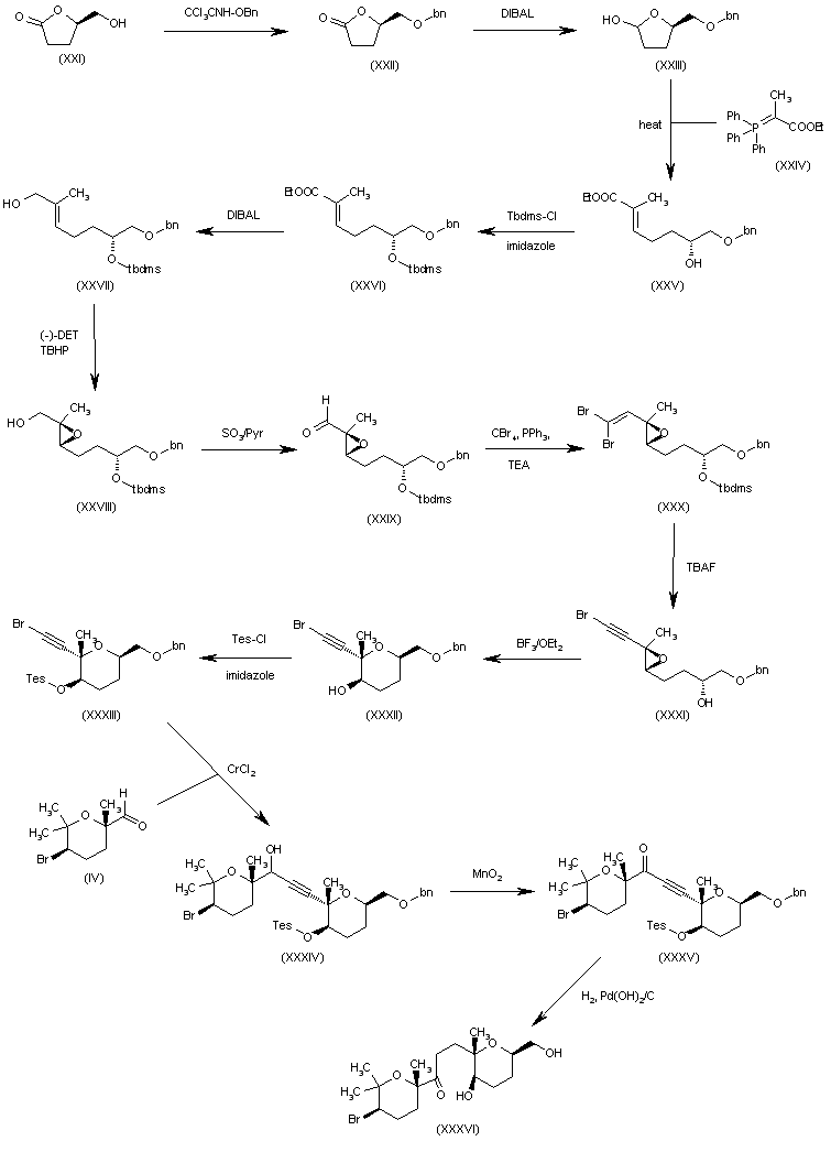
合成路线图解说明:

Assembly of the target compound: The protection of the lactone (XXI) with benzyl trichloroacetimidate gives the benzyl ether (XXII), which is reduced with DIBAL in toluene to yield the lactol (XXIII). The reaction of (XXIII) with phosphorane (XXIV) in refluxing benzene affords the hydroxy-heptenoic ester (XXV), which is treated with Tbdms-Cl and imidazole to provide the silyl ether (XXVI). The reduction of the ester group of (XXVI) with DIBAL in dichloromethane furnishes the allylic alcohol (XXVII), which by a Sharpless asymmetric epoxidation gives the epoxyalcohol (XXVIII). The oxidation of the OH group of (XXVIII) with SO3/pyridine complex yields the epoxyaldehyde (XXIX), which by reaction with tetrabromomethane, PPh3 and TEA in dichloromethane affords the dibromovinyl derivative (XXX). The reaction of (XXX) with TBAF in THF provides the bromoacetylenic compound (XXXI), which is cyclized by means of BF3/Et2O complex in dichloromethane, furnishing the acetylenic tetrahydropyran (XXXII). The reaction of (XXXII) with Tes-Cl and imidazole in DMF gives the silyl ether (XXXIII), which is condensed with the intermediate carbaldehyde (IV) by means of CrCl2 in DMF to yield the propargyl alcohol (XXXIV). The oxidation of the OH group of (XXXIV) with MnO2 affords the corresponding ketone (XXXV), which is hydrogenated and deprotected with H2 over Pd/C in methanol to provide the saturated dihydroxyketone (XXXVI).

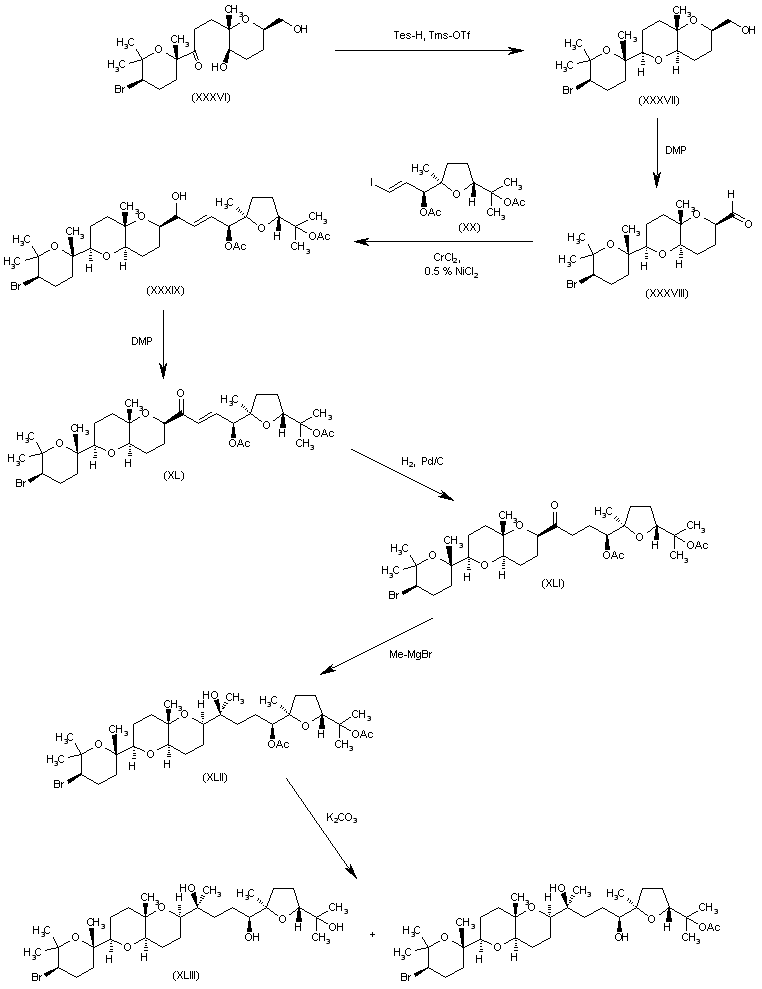
合成路线图解说明:

The cyclization of (XXXVI) by means of Tes-H and Tms-OTf gives the tricyclic carbinol (XXXVII), which is oxidized with DMP and NaHCO3 to afford the carbaldehyde (XXXVIII). The condensation of carbaldehyde (XXXVIII) with the intermediate iodovinyl-tetrahydrofuran (XX) by means of CrCl2 (0.5% NiCl2) gives the unsaturated alcohol (XXXIX), which is oxidized with DMP and NaHCO3, yielding the corresponding ketone (XL). The hydrogenation of the double bond of (XL) with H2 over Pd/C in ethyl acetate affords the saturated ketone (XLI), which is treated with methylmagnesium bromide in THF to provide the tertiary alcohol (XLII). Finally, the acetoxy groups of (XLII) are hydrolyzed with K2CO3 in methanol to furnish an approximately 1:1 mixture of the trihydroxycompound (XLIII) and the target monoacetate, which are separated by chromatography.

合成路线图解说明:

The reaction of (S)-linalool (I) with 2,4,4,6-tetrabromocyclohexa-2,5-dienone (TBCO) in nitromethane gives a mixture of tetrahydrofuran (II) and tetrahydropyran (III), which are separated by chromatography. The vinyl group of (III) is oxidized with OsO4 and NaIO4, yielding a diastereomeric mixture of aldehydes that is separated by chromatography to afford the target aldehydic intermediate (IV).

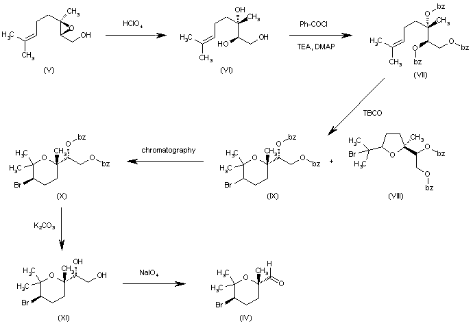
合成路线图解说明:

The regio- and stereoselective hydrolysis of (2R,3R)-epoxygeraniol (V) with HClO4 in THF/water gives the trihydroxy compound (VI), which is selectively benzoylated with benzoyl chloride, TEA and DMAP to yield the dibenzoate (VII). The reaction of (VII) with TBCO in nitromethane affords a mixture of tetrahydrofuran (VIII) and tetrahydropyran (IX), which are separated by chromatography. The desired isomer (X) is hydrolyzed with K2CO3 in methanol to provide the alpha-diol (XI), which is finally oxidized with NaIO4 in THF/water to furnish the target aldehydic intermediate (IV).

合成路线图解说明:

The tetrahydrofuran intermediate (XX) has been obtained as follows: The reaction of (2S,3S)-epoxygeraniol (XII) with Bn-Br and NaH in THF gives the benzyl ether (XIII), which is treated with NaClO4 to yield the diol (XIV). The selective monoacetylation of (XI) with Ac2O and pyridine affords the monoacetate (XV), which is cyclized by means of (CF3CO2)ReO3 and TFAA to provide the tetrahydrofuran (XVI). The acetylation of the tertiary alcohol of (XVI) with Ac2O and Sc(OTf)3 gives the diacetate (XVII), which is debenzylated with H2 over Pd/C to yield the primary alcohol (XVIII). The oxidation of (XVIII) with DMP affords the carbaldehyde (XIX), which is finally condensed with iodoform and CrCl2 to furnish the target iodovinyl-tetrahydrofuran intermediate (XX).

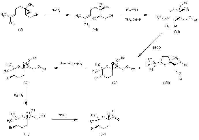
合成路线图解说明:

Assembly of the target compound: The protection of the lactone (XXI) with benzyl trichloroacetimidate gives the benzyl ether (XXII), which is reduced with DIBAL in toluene to yield the lactol (XXIII). The reaction of (XXIII) with phosphorane (XXIV) in refluxing benzene affords the hydroxy-heptenoic ester (XXV), which is treated with Tbdms-Cl and imidazole to provide the silyl ether (XXVI). The reduction of the ester group of (XXVI) with DIBAL in dichloromethane furnishes the allylic alcohol (XXVII), which by a Sharpless asymmetric epoxidation gives the epoxyalcohol (XXVIII). The oxidation of the OH group of (XXVIII) with SO3/pyridine complex yields the epoxyaldehyde (XXIX), which by reaction with tetrabromomethane, PPh3 and TEA in dichloromethane affords the dibromovinyl derivative (XXX). The reaction of (XXX) with TBAF in THF provides the bromoacetylenic compound (XXXI), which is cyclized by means of BF3/Et2O complex in dichloromethane, furnishing the acetylenic tetrahydropyran (XXXII). The reaction of (XXXII) with Tes-Cl and imidazole in DMF gives the silyl ether (XXXIII), which is condensed with the intermediate carbaldehyde (IV) by means of CrCl2 in DMF to yield the propargyl alcohol (XXXIV). The oxidation of the OH group of (XXXIV) with MnO2 affords the corresponding ketone (XXXV), which is hydrogenated and deprotected with H2 over Pd/C in methanol to provide the saturated dihydroxyketone (XXXVI).

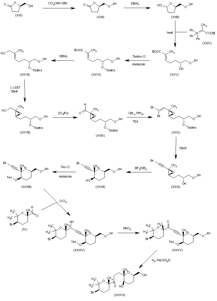
合成路线图解说明:

The cyclization of (XXXVI) by means of Tes-H and Tms-OTf gives the tricyclic carbinol (XXXVII), which is oxidized with DMP and NaHCO3 to afford the carbaldehyde (XXXVIII). The condensation of carbaldehyde (XXXVIII) with the intermediate iodovinyl-tetrahydrofuran (XX) by means of CrCl2 (0.5% NiCl2) gives the unsaturated alcohol (XXXIX), which is oxidized with DMP and NaHCO3, yielding the corresponding ketone (XL). The hydrogenation of the double bond of (XL) with H2 over Pd/C in ethyl acetate affords the saturated ketone (XLI), which is treated with methylmagnesium bromide in THF to provide the tertiary alcohol (XLII). Finally, the acetoxy groups of (XLII) are hydrolyzed with K2CO3 in methanol to furnish the target trihydroxycompound.

合成路线图解说明:

The reaction of (S)-linalool (I) with 2,4,4,6-tetrabromocyclohexa-2,5-dienone (TBCO) in nitromethane gives a mixture of tetrahydrofuran (II) and tetrahydropyran (III), which are separated by chromatography. The vinyl group of (III) is oxidized with OsO4 and NaIO4, yielding a diastereomeric mixture of aldehydes that is separated by chromatography to afford the target aldehydic intermediate (IV).

合成路线图解说明:

The regio- and stereoselective hydrolysis of (2R,3R)-epoxygeraniol (V) with HClO4 in THF/water gives the trihydroxy compound (VI), which is selectively benzoylated with benzoyl chloride, TEA and DMAP to yield the dibenzoate (VII). The reaction of (VII) with TBCO in nitromethane affords a mixture of tetrahydrofuran (VIII) and tetrahydropyran (IX), which are separated by chromatography. The desired isomer (X) is hydrolyzed with K2CO3 in methanol to provide the alpha-diol (XI), which is finally oxidized with NaIO4 in THF/water to furnish the target aldehydic intermediate (IV).

合成路线图解说明:

The tetrahydrofuran intermediate (XX) has been obtained as follows: The reaction of (2S,3S)-epoxygeraniol (XII) with Bn-Br and NaH in THF gives the benzyl ether (XIII), which is treated with NaClO4 to yield the diol (XIV). The selective monoacetylation of (XI) with Ac2O and pyridine affords the monoacetate (XV), which is cyclized by means of (CF3CO2)ReO3 and TFAA to provide the tetrahydrofuran (XVI). The acetylation of the tertiary alcohol of (XVI) with Ac2O and Sc(OTf)3 gives the diacetate (XVII), which is debenzylated with H2 over Pd/C to yield the primary alcohol (XVIII). The oxidation of (XVIII) with DMP affords the carbaldehyde (XIX), which is finally condensed with iodoform and CrCl2 to furnish the target iodovinyl-tetrahydrofuran intermediate (XX).

合成路线图解说明:

Assembly of the target compound: The protection of the lactone (XXI) with benzyl trichloroacetimidate gives the benzyl ether (XXII), which is reduced with DIBAL in toluene to yield the lactol (XXIII). The reaction of (XXIII) with phosphorane (XXIV) in refluxing benzene affords the hydroxy-heptenoic ester (XXV), which is treated with Tbdms-Cl and imidazole to provide the silyl ether (XXVI). The reduction of the ester group of (XXVI) with DIBAL in dichloromethane furnishes the allylic alcohol (XXVII), which by a Sharpless asymmetric epoxidation gives the epoxyalcohol (XXVIII). The oxidation of the OH group of (XXVIII) with SO3/pyridine complex yields the epoxyaldehyde (XXIX), which by reaction with tetrabromomethane, PPh3 and TEA in dichloromethane affords the dibromovinyl derivative (XXX). The reaction of (XXX) with TBAF in THF provides the bromoacetylenic compound (XXXI), which is cyclized by means of BF3/Et2O complex in dichloromethane, furnishing the acetylenic tetrahydropyran (XXXII). The reaction of (XXXII) with Tes-Cl and imidazole in DMF gives the silyl ether (XXXIII), which is condensed with the intermediate carbaldehyde (IV) by means of CrCl2 in DMF to yield the propargyl alcohol (XXXIV). The oxidation of the OH group of (XXXIV) with MnO2 affords the corresponding ketone (XXXV), which is hydrogenated and deprotected with H2 over Pd/C in methanol to provide the saturated dihydroxyketone (XXXVI).

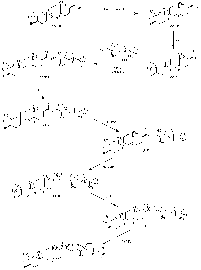
合成路线图解说明:

The cyclization of (XXXVI) by means of Tes-H and Tms-OTf gives the tricyclic carbinol (XXXVII), which is oxidized with DMP and NaHCO3 to afford the carbaldehyde (XXXVIII). The condensation of carbaldehyde (XXXVIII) with the intermediate iodovinyl-tetrahydrofuran (XX) by means of CrCl2 (0.5% NiCl2) gives the unsaturated alcohol (XXXIX), which is oxidized with DMP and NaHCO3, yielding the corresponding ketone (XL). The hydrogenation of the double bond of (XL) with H2 over Pd/C in ethyl acetate affords the saturated ketone (XLI), which is treated with methylmagnesium bromide in THF to provide the tertiary alcohol (XLII). The acetoxy groups of (XLII) are hydrolyzed with K2CO3 in methanol to furnish the trihydroxycompound (XLIII), which is finally regioselectively monoacetylated with Ac2O an pyridine to give the target monoacetate.

Drug Information Express,Drug R&D,Chemical Database,Patent Search.
Copyright © 2006-2026 Drug Future. All rights reserved.Contact Us