【药物名称】Cefpodoxime proxetil, RU-51807, U-76252, CS-807, Otreon, Vantin, Doxef, Orelox, Podomexef, Banan
化学结构式(Chemical Structure):
参考文献No.5327
标题:Process for preparing 3-alkoxymethylcephalosporin derivatives
作者:Fujimoto, K.; Nakayama, E.; Nakao, H. (Sankyo Co., Ltd.)
来源:DE 3244457
合成路线图解说明:

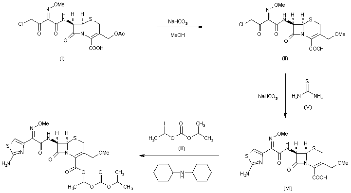
1) The methanolysis of 3-(acetoxymethyl)-7-[4-chloro-3-oxo-2(Z)-(methoxyimino)butyrylamidol-3-cephem-4-carboxylic acid (I) with methanol and NaHCO3 gives the corresponding 3-(methoxymethyl) derivative (II), which is esterified with 1-iodoethylisopropyl carbonate (III) by means of dicyclohexylamine or tetramethylguanidine or DIEA (diisopropylethylamine) in DMA to afford the corresponding ester (IV). Finally, this compound is cyclized with thiourea (V) and methyl iodide in a phosphate buffer.

合成路线图解说明:

2) The free acid (II) can be cyclized with thiourea in a similar way as before to give 7-[2 (2-amino-thiazol-4-yl)-2-(Z)-(methoxyimino)acetamido]-3-(methoxymethyl)-3-cephem 4-carboxylic acid (VI), which is finally esterified with the iodoester (III) as before.

合成路线图解说明:

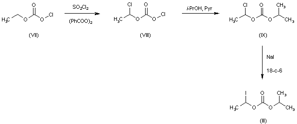
3) The iodoester (III) is obtained as follows: The chlorination of ethyl chloroformate (VII) with SO2Cl2 and benzoyl peroxide gives 1-chloroethyl-chloroformate (VIII), which is esterified with o-propanol in pyridine to afford 1-chloroethyl isopropyl carbonate (IX). Finally, this compound is iodinated with NaI and 18-crown-6 in refluxing benzene.

参考文献No.45837
标题:Process for the preparation of cefpodoxime acid
作者:Nizar, H.; Singh, K.; Khanna, J.M.; Kumar, Y.; De, S.; Arora, R.K. (Ranbaxy Laboratories Ltd.)
来源:WO 0068234
合成路线图解说明:

A new process for the preparation of cefpodoxime, which can be converted into cefpodoxime proxetil by known methods, has been described: The condensation of 2-(2-aminothiazol-4-yl)-2(Z)-(methoxyimino)acetic acid 2-benzothiazolyl ester (I) with (6R,7R)-7-amino-3-(methoxymethyl)-3-cephem-4-carboxylic acid (II) by means of an organic base such as Et3N, pyridine, N-methylpiperidine, DBU or DMAP in either THF/water, acetone/water, DMF/water, dimethylacetamide or dichloromethane directly gives cefpodoxime (III).

参考文献No.59600
标题:Process for the preparation of cefpodoxime acid
作者:Kumar, Y.; Nizar, H.; Tewari, N.; Rai, B.P.; Aryan, R.C. (Ranbaxy Laboratories Ltd.)
来源:WO 0283634
合成路线图解说明:

The condensation of 7-amino-3-(methoxymethyl)-3-cephem-4-carboxylic acid (I) with 4-bromo-2-(methoxyimino)-3-oxobutyric acid (II) by means of PCl5 and HMDS in dichloromethane gives the butyramide (III), which is cyclized with thiourea (IV) by means of Na-OAc in water to yield the thiazol derivative (IV). Finally, the carboxy group of (IV) is esterified with 1-iodoethyl isopropyl carbonate (VI) by means of DBU in DMA to afford the target cefpodoxime proxetil.

参考文献No.62383
标题:Cefpodoxime Proxetil
作者:Casta馿r, J.; Serradell, M.N.
来源:Drugs Fut 1988,13(1),16
合成路线图解说明:

1) The methanolysis of 3-(acetoxymethyl)-7-[4-chloro-3-oxo-2(Z)-(methoxyimino)butyrylamidol-3-cephem-4-carboxylic acid (I) with methanol and NaHCO3 gives the corresponding 3-(methoxymethyl) derivative (II), which is esterified with 1-iodoethylisopropyl carbonate (III) by means of dicyclohexylamine or tetramethylguanidine or DIEA (diisopropylethylamine) in DMA to afford the corresponding ester (IV). Finally, this compound is cyclized with thiourea (V) and methyl iodide in a phosphate buffer.

合成路线图解说明:

2) The free acid (II) can be cyclized with thiourea in a similar way as before to give 7-[2 (2-amino-thiazol-4-yl)-2-(Z)-(methoxyimino)acetamido]-3-(methoxymethyl)-3-cephem 4-carboxylic acid (VI), which is finally esterified with the iodoester (III) as before.

合成路线图解说明:

3) The iodoester (III) is obtained as follows: The chlorination of ethyl chloroformate (VII) with SO2Cl2 and benzoyl peroxide gives 1-chloroethyl-chloroformate (VIII), which is esterified with o-propanol in pyridine to afford 1-chloroethyl isopropyl carbonate (IX). Finally, this compound is iodinated with NaI and 18-crown-6 in refluxing benzene.

参考文献No.70504
标题:An improved process for the preparation of cefpodoxime proxetil
作者:Subramanian, S.; Deshpande, P.B.; Deshpande, P.N.; Luthra, P.K.; Das, G.K.; Kamma, R. (Orchid Chemicals & Pharmaceuticals Ltd.)
来源:WO 0448387
合成路线图解说明:

1) The methanolysis of 3-(acetoxymethyl)-7-[4-chloro-3-oxo-2(Z)-(methoxyimino)butyrylamidol-3-cephem-4-carboxylic acid (I) with methanol and NaHCO3 gives the corresponding 3-(methoxymethyl) derivative (II), which is esterified with 1-iodoethylisopropyl carbonate (III) by means of dicyclohexylamine or tetramethylguanidine or DIEA (diisopropylethylamine) in DMA to afford the corresponding ester (IV). Finally, this compound is cyclized with thiourea (V) and methyl iodide in a phosphate buffer.

参考文献No.71303
标题:A process for the manufacture of cefpodoxime proxetil
作者:Gharpure, M.M.; Deshmukh, S.S.; Mahale, R.D. (Lupin Ltd.)
来源:WO 0460896
合成路线图解说明:

The condensation of 7-amino-3-(methoxymethyl)-3-cephem-4-carboxylic acid (I) with 4-bromo-2-(methoxyimino)-3-oxobutyric acid (II) by means of PCl5 and HMDS in dichloromethane gives the butyramide (III), which is cyclized with thiourea (IV) by means of Na-OAc in water to yield the thiazol derivative (IV). Finally, the carboxy group of (IV) is esterified with 1-iodoethyl isopropyl carbonate (VI) by means of DBU in DMA to afford the target cefpodoxime proxetil.

参考文献No.93362
标题:Studies on orally active cephalosporin esters
作者:Fujimoto, K.; Ishihara, S.; Yanagisawa, H.; Ide, J.; Nakayama, E.; Nakao, H.; Sugawara, S.; Iwata, M.
来源:J Antibiot 1987,40(3),370
合成路线图解说明:

1) The methanolysis of 3-(acetoxymethyl)-7-[4-chloro-3-oxo-2(Z)-(methoxyimino)butyrylamidol-3-cephem-4-carboxylic acid (I) with methanol and NaHCO3 gives the corresponding 3-(methoxymethyl) derivative (II), which is esterified with 1-iodoethylisopropyl carbonate (III) by means of dicyclohexylamine or tetramethylguanidine or DIEA (diisopropylethylamine) in DMA to afford the corresponding ester (IV). Finally, this compound is cyclized with thiourea (V) and methyl iodide in a phosphate buffer.

合成路线图解说明:

2) The free acid (II) can be cyclized with thiourea in a similar way as before to give 7-[2 (2-amino-thiazol-4-yl)-2-(Z)-(methoxyimino)acetamido]-3-(methoxymethyl)-3-cephem 4-carboxylic acid (VI), which is finally esterified with the iodoester (III) as before.

合成路线图解说明:

3) The iodoester (III) is obtained as follows: The chlorination of ethyl chloroformate (VII) with SO2Cl2 and benzoyl peroxide gives 1-chloroethyl-chloroformate (VIII), which is esterified with o-propanol in pyridine to afford 1-chloroethyl isopropyl carbonate (IX). Finally, this compound is iodinated with NaI and 18-crown-6 in refluxing benzene.

Drug Information Express,Drug R&D,Chemical Database,Patent Search.
Copyright © 2006-2026 Drug Future. All rights reserved.Contact Us