【药物名称】Setastine hydrochloride, EGYT-2062, EGIS-2062, Loderix
化学结构式(Chemical Structure):
参考文献No.40005
标题:New benzhydryloxy-alkylamine derivs. and process f
作者:Rakoczi, J.; Bolla, K.; Beck, I.; Porszasz, K. (Egis Pharmaceuticals Ltd.)
来源:DE 2528194; GB 1463038
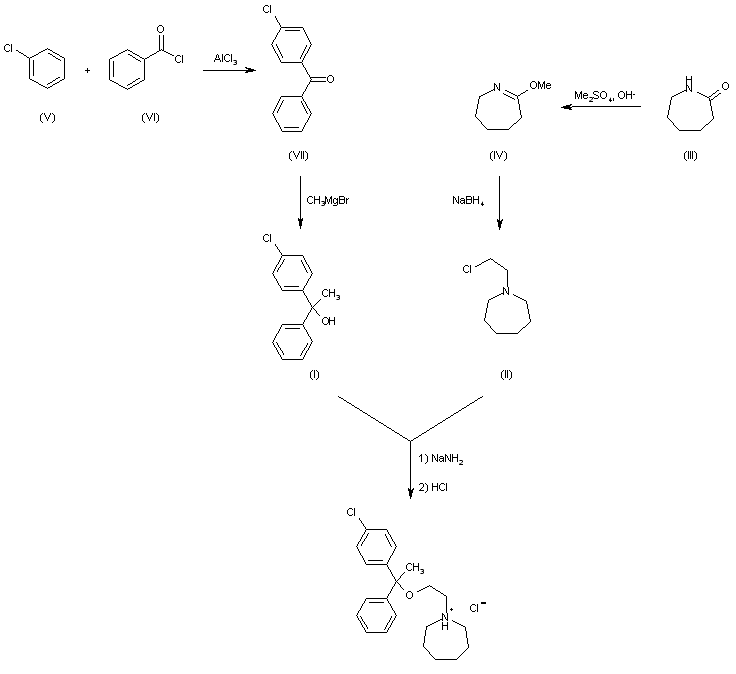
合成路线图解说明:

4-Chloro-alpha-methylbenzhydrol (I) is alkylated with N-(2-chloroethyl)hexamethyleneimine (II) in benzene in the presence of sodium amide to give setastine. The starting products are obtained as follows; Caprolactame (III) is O-alkylated with dimethyl sulfate to yield the lactimether (IV), which is reduced with sodium borohydride to hexamethyleneimine (II). Friedel Cratts acylation of chlorobenzene (V) with benzoyl chloride (VI) affords the benzophenone (VII), to which methylmagnesium bromide is added to give the carbinol (I).

参考文献No.56340
标题:Setastine hydrochloride
作者:Nogradi, M.
来源:Drugs Fut 1987,12(4),357
合成路线图解说明:

4-Chloro-alpha-methylbenzhydrol (I) is alkylated with N-(2-chloroethyl)hexamethyleneimine (II) in benzene in the presence of sodium amide to give setastine. The starting products are obtained as follows; Caprolactame (III) is O-alkylated with dimethyl sulfate to yield the lactimether (IV), which is reduced with sodium borohydride to hexamethyleneimine (II). Friedel Cratts acylation of chlorobenzene (V) with benzoyl chloride (VI) affords the benzophenone (VII), to which methylmagnesium bromide is added to give the carbinol (I).

Drug Information Express,Drug R&D,Chemical Database,Patent Search.
Copyright © 2006-2026 Drug Future. All rights reserved.Contact Us