【药物名称】Maxacalcitol, 22-Oxacalcitriol, Sch-209579, MC-1275, 22-Oxa-1,25(OH)2D3, OCT, Oxarol, Prezios
化学结构式(Chemical Structure):
参考文献No.4678
标题:Novel vitamin D derivs. and process for producing the same
作者:Kubodera, N.; Miyamoto, K.; Ochi, K.; Matsunaga, I.; Murayama, E. (Chugai Pharmaceutical Co. Ltd.)
来源:EP 0184112; JP 1986267548; JP 1986267550
合成路线图解说明:

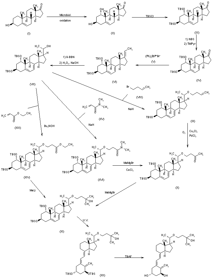
1) The microbiological oxidation of 3beta-hydroxyandrost-5-en-17-one (I) gives 1alpha,3beta-dihydroxyandrost-5-en-17-one (II), which is silylated with tert-butyldimethylsilyl (TBS) chloride and imidazole to the bis(silyloxy) compound (III). The dehydrogenation of (III) by bromination with N-bromosuccinimide (NBS) and dehydrobromination with 2,4,6-trimethylpyridine (TMPyr) yields 1alpha,3beta-bis(tert-butyldimethylsilyloxy)androsta-5,7-dien-17-one (IV). The Wittig condensation of (IV) with ethyltriphenylphosphonium bromide (V) by means of NaH in DMS gives the corresponding ethylidene derivative (VI), which is treated first with 9-borabicyclo[3.3.1]nonane (9-BBN) and then with H2O2 and NaOH in THF yielding a mixture of the 20(S)- and 20(R)-isomers of 1alpha,3beta-bis(tert-butyldimethylsilyloxy)pregna-5,7-dien-20-ol that was separated by preparative TLC. The 20(S)-isomer (VII) was condensed with 1-bromo-3-butene (VIII) by means of NaH in refluxing xylene affording 20(S)-(3-butenyloxy)-1alpha,3beta-bis(tert-butyldimethylsilyloxy)pregna-5,7-diene (IX), which is oxidized with O2 gas in DMF/water catalyzed by Cu2Cl2 and PdCl2 to give the corresponding 3-oxobutoxy derivative (X). The Grignard alkylation of (X) with methylmagnesium bromide in THF afforded the 20(S)-(3-hydroxy-3-methylbutoxy) derivative (XI), which was submitted to UV irradiation with a 200 W high-pressure mercury lamp in ethanol yielding the silylated 22-oxavitamin D3 derivative (XII). Finally, this compound is desilylated by a treatment with tetrabutylammonium fluoride (TBAF) in THF. 2) The addition of ethyl acrylate (XIII) to the previously reported pregna-5,7-dien-20(S)-ol (VII) by means of tetrabutylammonium hydroxide/NaOH in water/toluene gives the 2-(ethoxycarbonyl)ethoxy derivative (XIV), which by alkylation of the carbonyl function with methyllithium yields the 3-hydroxy-3-methylbutoxy derivative (XI), already obtained. 3) The addition of N,N-dimethylacrylamide (XV) to the previously reported pregna-5,7-dien-20(S)-ol (VII) by means of NaH gives the corresponding propionamide derivative (XVI), which by a Grignard alkylation with methylmagnesium bromide and CeCl3 is converted into the 3-hydroxy-3-methylbutoxy derivative (XI), already obtained.

参考文献No.32658
标题:22-Oxacalciferol deriv. and production thereof
作者:Kato, M.; Mikami, T.; Ochi, K.; Watanabe, H.; Kubodera, N. (Chugai Pharmaceutical Co. Ltd.)
来源:WO 9312083
合成路线图解说明:

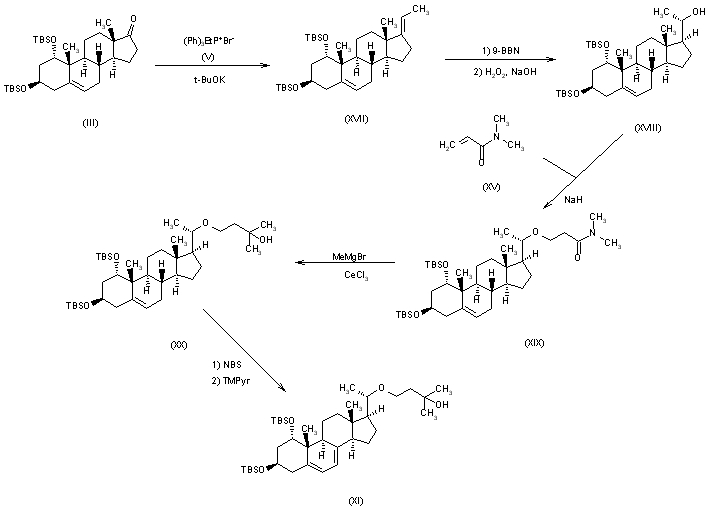
4) The Wittig condensation of the previously reported 1alpha,3beta-bis(tert-butyldimethylsilyloxy)androst-5-en-17-one (III) with ethyltriphenylphosphonium bromide and potassium tert-butoxide gives the corresponding 17-ethylidene derivative (XVII), which is treated first with 9-borabicyclo[3.3.1]nonane (9-BBN) and then with H2O2 and NaOH in THF yielding a mixture of the 20(S)- and 20(R)-isomers of the 1alpha,3beta-bis(tert-butyldimethylsilyloxy)pregn-5-en-20-ol that was separated by preparative TLC. The 20(S)-isomer (XVIII) was condensed with N,N-dimethylacrylamide (XV) by means of NaH affording the propionamide derivative (XIX), which by a Grignard condensation with methylmagnesium bromide catalyzed by CeCl3 is converted into 1alpha,3beta-bis(tert-butyldimethylsilyloxy)-20(S)-(3-hydroxy-3-methylbutoxy)pregn-5-ene (XX). Finally, this compound is dehydrogenated as before by bromination with N-bromosuccinimide (NBS) and dehydrobromination with 2,4,6-trimethylpyridine (TMPyr) to afford the 3-hydroxy-3-methylbutoxy derivative (XI), already obtained.

参考文献No.32659
标题:Vitamin D deriv. and process for producing the same
作者:Mikami, T. (Chugai Pharmaceutical Co. Ltd.)
来源:WO 9408958
合成路线图解说明:

5) The acetylation of 20(S)-(3-hydroxy-3-methylbutoxy)pregna-5,7-diene-1alpha,3beta-diol (XXI) with acetic anhydride and dimethylaminopyridine (DMAP) in pyridine gives the 1alpha,3beta-diacetoxy derivative (XXII), which was submitted to UV irradiation with a 400 W high-pressure mercury lamp in THF yielding the corresponding 22-oxavitamin D3 derivative (XXIII). Finally, this compound is deacetylated by a treatment with KOH in methanol.

参考文献No.384901
标题:22-Oxacalcitriol
作者:Leeson, P.A.; Martel, A.M.; Casta馿r, J.
来源:Drugs Fut 1996,21(12),1229
合成路线图解说明:

1) The microbiological oxidation of 3beta-hydroxyandrost-5-en-17-one (I) gives 1alpha,3beta-dihydroxyandrost-5-en-17-one (II), which is silylated with tert-butyldimethylsilyl (TBS) chloride and imidazole to the bis(silyloxy) compound (III). The dehydrogenation of (III) by bromination with N-bromosuccinimide (NBS) and dehydrobromination with 2,4,6-trimethylpyridine (TMPyr) yields 1alpha,3beta-bis(tert-butyldimethylsilyloxy)androsta-5,7-dien-17-one (IV). The Wittig condensation of (IV) with ethyltriphenylphosphonium bromide (V) by means of NaH in DMS gives the corresponding ethylidene derivative (VI), which is treated first with 9-borabicyclo[3.3.1]nonane (9-BBN) and then with H2O2 and NaOH in THF yielding a mixture of the 20(S)- and 20(R)-isomers of 1alpha,3beta-bis(tert-butyldimethylsilyloxy)pregna-5,7-dien-20-ol that was separated by preparative TLC. The 20(S)-isomer (VII) was condensed with 1-bromo-3-butene (VIII) by means of NaH in refluxing xylene affording 20(S)-(3-butenyloxy)-1alpha,3beta-bis(tert-butyldimethylsilyloxy)pregna-5,7-diene (IX), which is oxidized with O2 gas in DMF/water catalyzed by Cu2Cl2 and PdCl2 to give the corresponding 3-oxobutoxy derivative (X). The Grignard alkylation of (X) with methylmagnesium bromide in THF afforded the 20(S)-(3-hydroxy-3-methylbutoxy) derivative (XI), which was submitted to UV irradiation with a 200 W high-pressure mercury lamp in ethanol yielding the silylated 22-oxavitamin D3 derivative (XII). Finally, this compound is desilylated by a treatment with tetrabutylammonium fluoride (TBAF) in THF. 2) The addition of ethyl acrylate (XIII) to the previously reported pregna-5,7-dien-20(S)-ol (VII) by means of tetrabutylammonium hydroxide/NaOH in water/toluene gives the 2-(ethoxycarbonyl)ethoxy derivative (XIV), which by alkylation of the carbonyl function with methyllithium yields the 3-hydroxy-3-methylbutoxy derivative (XI), already obtained. 3) The addition of N,N-dimethylacrylamide (XV) to the previously reported pregna-5,7-dien-20(S)-ol (VII) by means of NaH gives the corresponding propionamide derivative (XVI), which by a Grignard alkylation with methylmagnesium bromide and CeCl3 is converted into the 3-hydroxy-3-methylbutoxy derivative (XI), already obtained.

合成路线图解说明:

4) The Wittig condensation of the previously reported 1alpha,3beta-bis(tert-butyldimethylsilyloxy)androst-5-en-17-one (III) with ethyltriphenylphosphonium bromide and potassium tert-butoxide gives the corresponding 17-ethylidene derivative (XVII), which is treated first with 9-borabicyclo[3.3.1]nonane (9-BBN) and then with H2O2 and NaOH in THF yielding a mixture of the 20(S)- and 20(R)-isomers of the 1alpha,3beta-bis(tert-butyldimethylsilyloxy)pregn-5-en-20-ol that was separated by preparative TLC. The 20(S)-isomer (XVIII) was condensed with N,N-dimethylacrylamide (XV) by means of NaH affording the propionamide derivative (XIX), which by a Grignard condensation with methylmagnesium bromide catalyzed by CeCl3 is converted into 1alpha,3beta-bis(tert-butyldimethylsilyloxy)-20(S)-(3-hydroxy-3-methylbutoxy)pregn-5-ene (XX). Finally, this compound is dehydrogenated as before by bromination with N-bromosuccinimide (NBS) and dehydrobromination with 2,4,6-trimethylpyridine (TMPyr) to afford the 3-hydroxy-3-methylbutoxy derivative (XI), already obtained.

合成路线图解说明:

5) The acetylation of 20(S)-(3-hydroxy-3-methylbutoxy)pregna-5,7-diene-1alpha,3beta-diol (XXI) with acetic anhydride and dimethylaminopyridine (DMAP) in pyridine gives the 1alpha,3beta-diacetoxy derivative (XXII), which was submitted to UV irradiation with a 400 W high-pressure mercury lamp in THF yielding the corresponding 22-oxavitamin D3 derivative (XXIII). Finally, this compound is deacetylated by a treatment with KOH in methanol.

合成路线图解说明:

The synthesis of 22-oxacalcitriol labeled with tritium at the 26-methyl group has been performed as follows: The starting compound is the previously obtained 3-oxobutoxy derivative (X), which is submitted to a Grignard alkylation with 3CH3MgI giving the labeled 3-hydroxy-3-methylbutoxy derivative (XXIV). The deprotection of (XXIV) with tetrabutylammonium fluoride affords the triol derivative (XXV), which is finally irradiated with a 400 W high-pressure mercury lamp with a Vycor filter.

合成路线图解说明:

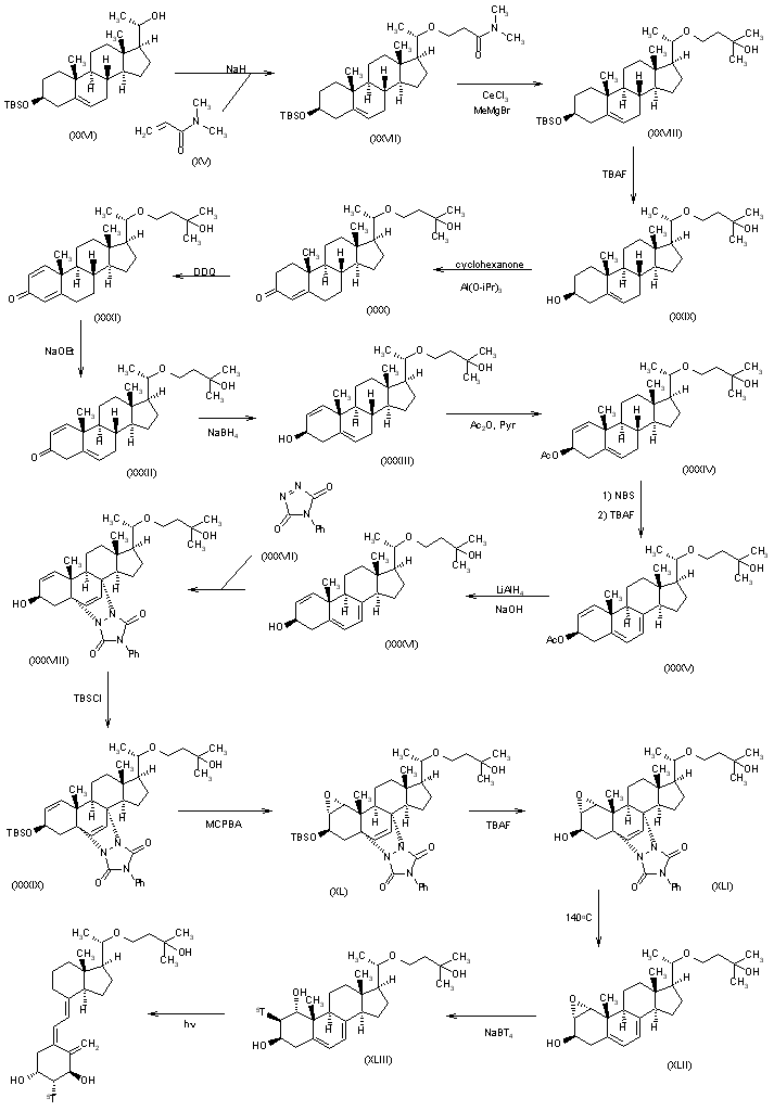
The synthesis of 22-oxacalcitriol labeled with tritium at the 2beta-position has been performed as follows: The condensation of 3beta-(tert-butyldimethylsilyloxy)pregn-5-en-20(S)-ol (XXVI) with N,N-dimethylacrylamide (XV) by means of NaH in THF gives the propionamide derivative (XXVII), which is submitted to a Grignard alkylation with CH3MgBr and CeCl3 in ethyl ether yielding the 3-hydroxy-3-methylbutoxy derivative (XXVIII). The desilylation of (XXVIII) with tetrabutylammonium fluoride in THF affords the 3beta-hydroxy compound (XXIX), which is oxidized with cyclohexanone in refluxing toluene catalyzed by aluminum isopropoxide giving the enone compound (XXX). The dehydrogenation of (XXX) with dichlorodicyanobenzoquinone (DDQ) in refluxing dioxane yields the 1,4-dien-3-one compound (XXXI), which is isomerized by means of sodium ethoxide in DMSO to the 1,5-dien-3-one isomer (XXXII). The reduction of (XXXII) with NaBH4 in methanol affords the corresponding 3beta-hydroxy compound (XXXIII), which is selectively acetylated with acetic anhydride in pyridine to the 3beta-acetoxy compound (XXXIV). The dehydrogenation of (XXXIV) with N-bromosuccinimide (NBS) and tetrabutylammonium fluoride in refluxing CCl4 affords the 1,5,7-triene compound (XXXV), which is deacetylated with LiAlH4/NaOH in THF giving the corresponding 3beta-hydroxy compound (XXXVI). The protection of the conjugated diene system of (XXXVI) by a Diels-Alder cycloaddition with 4-phenyl-2,5-dihydro-1H-1,2,4-triazole-2,5-dione (XXXVII) in dichloromethane yields the adduct (XXXVIII), which is treated with trimethylsilyl chloride and imidazole in DMF (in order to protect the 3beta-hydroxy group) affording (XXXIX). The selective epoxidation of the 1-double bond of (XXXIX) with m-chloroperbenzoic acid (MCPBA) in dichloromethane gives the 1alpha,2alpha-epoxy derivative (XL), which is desilylated with TBAF in THF to the 1alpha,2alpha-epoxy-3beta-hydroxy adduct (XLI). The deprotection of the conjugated diene system of (XLI) by a retro Diels-Alder reaction (heating at 140 C in 1,3-dimethylimidazolidin-2-one) yields 1alpha,2alpha-epoxy-3beta-hydroxy-20(S)-(3-hydroxy-3-methylbutoxy) pregna-5,7-diene (XLII), which is submitted to a epoxy ring opening with tritiated NaB3H4 affording the 2beta-tritiated pregnadiene (XLIII). Finally, this compound is irradiated in ethanol with a 400 W high-pressure mercury lamp provided with a Vycor filter.

参考文献No.392041
标题:Synthetic studies of vitamin D3 analogues. VIII. Synthesis of 22-oxavitamin D3 analogues
作者:Murayama, E.; Miyamoto, K.; Kubodera, N.; Mori, T.; Matsunaga, I.
来源:Chem Pharm Bull 1986,34(10),4410-3
合成路线图解说明:

1) The microbiological oxidation of 3beta-hydroxyandrost-5-en-17-one (I) gives 1alpha,3beta-dihydroxyandrost-5-en-17-one (II), which is silylated with tert-butyldimethylsilyl (TBS) chloride and imidazole to the bis(silyloxy) compound (III). The dehydrogenation of (III) by bromination with N-bromosuccinimide (NBS) and dehydrobromination with 2,4,6-trimethylpyridine (TMPyr) yields 1alpha,3beta-bis(tert-butyldimethylsilyloxy)androsta-5,7-dien-17-one (IV). The Wittig condensation of (IV) with ethyltriphenylphosphonium bromide (V) by means of NaH in DMS gives the corresponding ethylidene derivative (VI), which is treated first with 9-borabicyclo[3.3.1]nonane (9-BBN) and then with H2O2 and NaOH in THF yielding a mixture of the 20(S)- and 20(R)-isomers of 1alpha,3beta-bis(tert-butyldimethylsilyloxy)pregna-5,7-dien-20-ol that was separated by preparative TLC. The 20(S)-isomer (VII) was condensed with 1-bromo-3-butene (VIII) by means of NaH in refluxing xylene affording 20(S)-(3-butenyloxy)-1alpha,3beta-bis(tert-butyldimethylsilyloxy)pregna-5,7-diene (IX), which is oxidized with O2 gas in DMF/water catalyzed by Cu2Cl2 and PdCl2 to give the corresponding 3-oxobutoxy derivative (X). The Grignard alkylation of (X) with methylmagnesium bromide in THF afforded the 20(S)-(3-hydroxy-3-methylbutoxy) derivative (XI), which was submitted to UV irradiation with a 200 W high-pressure mercury lamp in ethanol yielding the silylated 22-oxavitamin D3 derivative (XII). Finally, this compound is desilylated by a treatment with tetrabutylammonium fluoride (TBAF) in THF. 2) The addition of ethyl acrylate (XIII) to the previously reported pregna-5,7-dien-20(S)-ol (VII) by means of tetrabutylammonium hydroxide/NaOH in water/toluene gives the 2-(ethoxycarbonyl)ethoxy derivative (XIV), which by alkylation of the carbonyl function with methyllithium yields the 3-hydroxy-3-methylbutoxy derivative (XI), already obtained. 3) The addition of N,N-dimethylacrylamide (XV) to the previously reported pregna-5,7-dien-20(S)-ol (VII) by means of NaH gives the corresponding propionamide derivative (XVI), which by a Grignard alkylation with methylmagnesium bromide and CeCl3 is converted into the 3-hydroxy-3-methylbutoxy derivative (XI), already obtained.

参考文献No.392056
标题:Synthetic studies of vitamin D analogues. XI. Synthesis and differentiation-inducing activity of 1alpha,25-dihydroxy-22-oxavitamin D3 analogues
作者:Kubodera, N.; Watanabe, H.; Kawanishi, T.; Matsumoto, M.
来源:Chem Pharm Bull 1992,40(6),1494-9
合成路线图解说明:

1) The microbiological oxidation of 3beta-hydroxyandrost-5-en-17-one (I) gives 1alpha,3beta-dihydroxyandrost-5-en-17-one (II), which is silylated with tert-butyldimethylsilyl (TBS) chloride and imidazole to the bis(silyloxy) compound (III). The dehydrogenation of (III) by bromination with N-bromosuccinimide (NBS) and dehydrobromination with 2,4,6-trimethylpyridine (TMPyr) yields 1alpha,3beta-bis(tert-butyldimethylsilyloxy)androsta-5,7-dien-17-one (IV). The Wittig condensation of (IV) with ethyltriphenylphosphonium bromide (V) by means of NaH in DMS gives the corresponding ethylidene derivative (VI), which is treated first with 9-borabicyclo[3.3.1]nonane (9-BBN) and then with H2O2 and NaOH in THF yielding a mixture of the 20(S)- and 20(R)-isomers of 1alpha,3beta-bis(tert-butyldimethylsilyloxy)pregna-5,7-dien-20-ol that was separated by preparative TLC. The 20(S)-isomer (VII) was condensed with 1-bromo-3-butene (VIII) by means of NaH in refluxing xylene affording 20(S)-(3-butenyloxy)-1alpha,3beta-bis(tert-butyldimethylsilyloxy)pregna-5,7-diene (IX), which is oxidized with O2 gas in DMF/water catalyzed by Cu2Cl2 and PdCl2 to give the corresponding 3-oxobutoxy derivative (X). The Grignard alkylation of (X) with methylmagnesium bromide in THF afforded the 20(S)-(3-hydroxy-3-methylbutoxy) derivative (XI), which was submitted to UV irradiation with a 200 W high-pressure mercury lamp in ethanol yielding the silylated 22-oxavitamin D3 derivative (XII). Finally, this compound is desilylated by a treatment with tetrabutylammonium fluoride (TBAF) in THF. 2) The addition of ethyl acrylate (XIII) to the previously reported pregna-5,7-dien-20(S)-ol (VII) by means of tetrabutylammonium hydroxide/NaOH in water/toluene gives the 2-(ethoxycarbonyl)ethoxy derivative (XIV), which by alkylation of the carbonyl function with methyllithium yields the 3-hydroxy-3-methylbutoxy derivative (XI), already obtained. 3) The addition of N,N-dimethylacrylamide (XV) to the previously reported pregna-5,7-dien-20(S)-ol (VII) by means of NaH gives the corresponding propionamide derivative (XVI), which by a Grignard alkylation with methylmagnesium bromide and CeCl3 is converted into the 3-hydroxy-3-methylbutoxy derivative (XI), already obtained.

参考文献No.392064
标题:Synthesis of tritiated 1alpha,25-dihydroxy-22-oxavitamin D3
作者:Watanabe, H.; Akiyama, M.; Kawanishi, T.; Kubodera, N.
来源:J Label Compd Radiopharm 1995,36(7),645-54
合成路线图解说明:

The synthesis of 22-oxacalcitriol labeled with tritium at the 26-methyl group has been performed as follows: The starting compound is the previously obtained 3-oxobutoxy derivative (X), which is submitted to a Grignard alkylation with 3CH3MgI giving the labeled 3-hydroxy-3-methylbutoxy derivative (XXIV). The deprotection of (XXIV) with tetrabutylammonium fluoride affords the triol derivative (XXV), which is finally irradiated with a 400 W high-pressure mercury lamp with a Vycor filter.

合成路线图解说明:

The synthesis of 22-oxacalcitriol labeled with tritium at the 2beta-position has been performed as follows: The condensation of 3beta-(tert-butyldimethylsilyloxy)pregn-5-en-20(S)-ol (XXVI) with N,N-dimethylacrylamide (XV) by means of NaH in THF gives the propionamide derivative (XXVII), which is submitted to a Grignard alkylation with CH3MgBr and CeCl3 in ethyl ether yielding the 3-hydroxy-3-methylbutoxy derivative (XXVIII). The desilylation of (XXVIII) with tetrabutylammonium fluoride in THF affords the 3beta-hydroxy compound (XXIX), which is oxidized with cyclohexanone in refluxing toluene catalyzed by aluminum isopropoxide giving the enone compound (XXX). The dehydrogenation of (XXX) with dichlorodicyanobenzoquinone (DDQ) in refluxing dioxane yields the 1,4-dien-3-one compound (XXXI), which is isomerized by means of sodium ethoxide in DMSO to the 1,5-dien-3-one isomer (XXXII). The reduction of (XXXII) with NaBH4 in methanol affords the corresponding 3beta-hydroxy compound (XXXIII), which is selectively acetylated with acetic anhydride in pyridine to the 3beta-acetoxy compound (XXXIV). The dehydrogenation of (XXXIV) with N-bromosuccinimide (NBS) and tetrabutylammonium fluoride in refluxing CCl4 affords the 1,5,7-triene compound (XXXV), which is deacetylated with LiAlH4/NaOH in THF giving the corresponding 3beta-hydroxy compound (XXXVI). The protection of the conjugated diene system of (XXXVI) by a Diels-Alder cycloaddition with 4-phenyl-2,5-dihydro-1H-1,2,4-triazole-2,5-dione (XXXVII) in dichloromethane yields the adduct (XXXVIII), which is treated with trimethylsilyl chloride and imidazole in DMF (in order to protect the 3beta-hydroxy group) affording (XXXIX). The selective epoxidation of the 1-double bond of (XXXIX) with m-chloroperbenzoic acid (MCPBA) in dichloromethane gives the 1alpha,2alpha-epoxy derivative (XL), which is desilylated with TBAF in THF to the 1alpha,2alpha-epoxy-3beta-hydroxy adduct (XLI). The deprotection of the conjugated diene system of (XLI) by a retro Diels-Alder reaction (heating at 140 C in 1,3-dimethylimidazolidin-2-one) yields 1alpha,2alpha-epoxy-3beta-hydroxy-20(S)-(3-hydroxy-3-methylbutoxy) pregna-5,7-diene (XLII), which is submitted to a epoxy ring opening with tritiated NaB3H4 affording the 2beta-tritiated pregnadiene (XLIII). Finally, this compound is irradiated in ethanol with a 400 W high-pressure mercury lamp provided with a Vycor filter.

参考文献No.392073
标题:Active vitamin D analogs. Important and various roles by medicinal chemists during the course of development of promising candidates as useful medicines
作者:Kubodera, N.
来源:Jpn J Org Chem 1996,54(2),139-45
合成路线图解说明:

4) The Wittig condensation of the previously reported 1alpha,3beta-bis(tert-butyldimethylsilyloxy)androst-5-en-17-one (III) with ethyltriphenylphosphonium bromide and potassium tert-butoxide gives the corresponding 17-ethylidene derivative (XVII), which is treated first with 9-borabicyclo[3.3.1]nonane (9-BBN) and then with H2O2 and NaOH in THF yielding a mixture of the 20(S)- and 20(R)-isomers of the 1alpha,3beta-bis(tert-butyldimethylsilyloxy)pregn-5-en-20-ol that was separated by preparative TLC. The 20(S)-isomer (XVIII) was condensed with N,N-dimethylacrylamide (XV) by means of NaH affording the propionamide derivative (XIX), which by a Grignard condensation with methylmagnesium bromide catalyzed by CeCl3 is converted into 1alpha,3beta-bis(tert-butyldimethylsilyloxy)-20(S)-(3-hydroxy-3-methylbutoxy)pregn-5-ene (XX). Finally, this compound is dehydrogenated as before by bromination with N-bromosuccinimide (NBS) and dehydrobromination with 2,4,6-trimethylpyridine (TMPyr) to afford the 3-hydroxy-3-methylbutoxy derivative (XI), already obtained.

参考文献No.654649
标题:Stereoselective synthesis of 22-oxacalcitriol (OCT) and analogues modified at C25
作者:Vidal, B.; Fall, Y.; Mouri駉, A.; Gonzalez, V.
来源:Tetrahedron Lett 2002,43(3),427
合成路线图解说明:

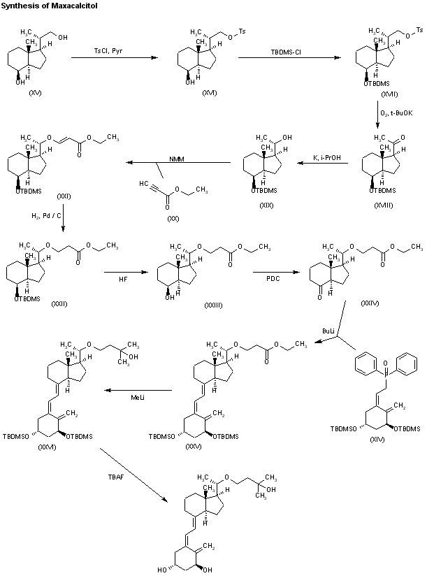
Synthesis of ketone (XXIV): Reaction of the known diol (XV) ?obtained by degradation of vitamin D2 ?with TsOH in pyridine gives, regioselectively, the monotosylate (XVI), which is protected at the secondary OH group by silylation with TBDMS-Cl and imidazole to yield the silyl ether (XVII). Oxidation of the tosyloxy group of (XVII) with O2 and t-BuOK in DMSO/t-BuOH affords ketone (XVIII), which is reduced with K and i-PrOH providing alcohol (XIX). Condensation of compound (XIX) with ethyl prop-ynoate (XX) by means of NMM in benzene gives the alkoxyacrylate (XXI), which is reduced with H2 over Pd/C in EtOH to yield the alkoxypropionate (XXII). Deprotection of the OH group of (XXII) with HF in acetonitrile affords alcohol (XXIII), which is oxidized with pyridinium dichromate (PDC) in CH2Cl2 providing ketone (XXIV). Wittig-Horner condensation of ketone (XXIV) with phosphine oxide (XIV) by means of BuLi in THF yields the corresponding adduct (XXV), which is submitted to a Grignard reaction with MeLi in THF to give the protected maxacalcitol precursor (XXVI). Finally, this compound is desilylated by means of TBAF in THF.

参考文献No.661202
标题:Efficient and versatile synthesis of A-ring precursors of 1alpha,25-dihydroxyvitamin D3 and analogues. Application to the synthesis of Lythgoe-Roche phosphine oxide
作者:Mouri駉, A.; et al.
来源:Tetrahedron Lett 1997,38(26),4713
合成路线图解说明:

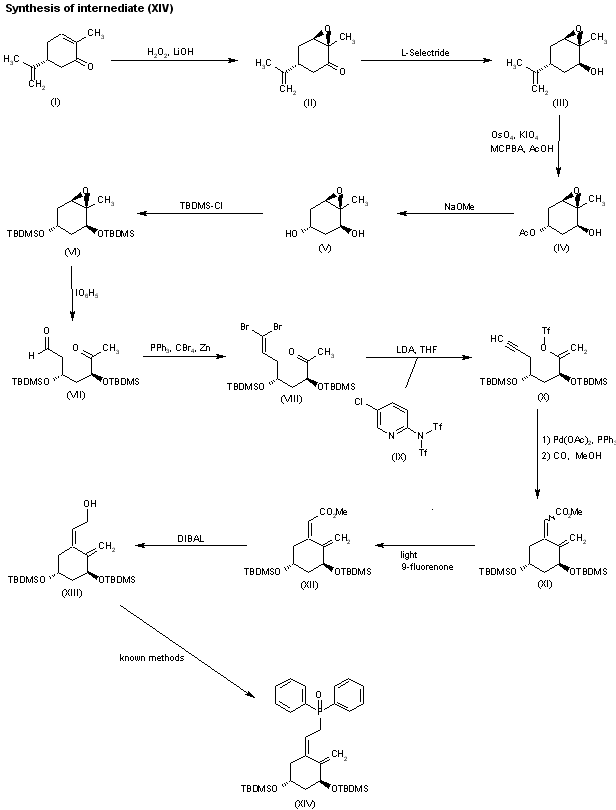
Synthesis of phosphine oxide (XIV): Epoxidation of l-carvone (I) with H2O2 and LiOH in methanol gives the epoxide (II), which is reduced with L-Selectride in THF to yield the alcohol (III). Oxidation of the isopropenyl group of (III) with OsO4, KIO4, MCPBA and HOAc affords the acetate (IV), which is hydrolyzed to the diol (V) with MeONa in methanol. Protection of the two OH groups of (V) with TBDMS-Cl and imidazole provides the bis-silyl ether (VI), which is oxidized with periodic acid in ethyl ether to give the aldehyde (VII). Compound (VII) is submitted to a Wittig condensation with CBr4, PPh3 and Zn in dichloromethane to yield the dibromovinyl compound (VIII), which is converted into the acetylenic vinyl triflate (X) by treatment with LDA in THF followed by the triflic imide (IX). Cyclization of triflate (X) by means of Pd(OAc)2 and PPh3, followed by carbonylation with CO in methanol provides the methyl ester (XI) as a 2:1 mixture of the Z- and E-isomers. Photoisomerization of this mixture (XIa-b) under the Hoffman-La Roche conditions (presence of 9-fluorenone) gives the Z-isomer (XII) in a high yield. Reduction of ester (XII) with DIBAL in toluene provides the primary alcohol (XIII), which is finally converted into the phosphine oxide (XIV) by known methods.

合成路线图解说明:

The intermediate phosphine oxide (XIV) has been obtained as follows: The epoxidation of l-carvone (I) with H2O2 and LiOH in methanol gives the epoxide (II), which is reduced with L-Selectride in THF to yield the alcohol (III). The oxidation of the isopropenyl group of (III) with OsO4, KIO4, MCPBA and HOAc affords the acetate (IV), which is hydrolyzed to the diol (V) with NaOMe in methanol. The protection of the two OH groups of (V) with Tbdms-Cl and imidazole provides the bis-silyl ether (VI), which is oxidized with periodic acid in ethyl ether to give the ketoaldehyde (VII). The aldehyde group of (VII) is subjected to a Wittig condensation with CBr4, PPh3 and Zn in dichloromethane to yield the dibromovinyl compound (VIII), which by treatment with LDA and the triflic imide (IX) in THF affords the acetylenic vinyl triflate (X). The cyclization of (X) by means of Pd(OAc)2 and PPH3, followed by carbonylation in methanol, provides the methyl ester (XI) as a 2:1 mixture of the (Z)- and (E)-isomers. The photoisomerization of this mixture under the Hoffmann-La Roche conditions (presence of 9-fluorenone) gives a high yield of the (Z)-isomer (XII), which is reduced with DIBAL in toluene to give the primary alcohol (XIII). Finally, this compound is converted into the target phosphine oxide (XIV) is performed by known methods.

参考文献No.661204
标题:A new approach to the synthesis of the 25-hydroxy-22-oxa-vitamin D3 side chain
作者:Fall, Y.
来源:Tetrahedron Lett 1997,38(27),4909
合成路线图解说明:

Synthesis of ketone (XXIV): Reaction of the known diol (XV) ?obtained by degradation of vitamin D2 ?with TsOH in pyridine gives, regioselectively, the monotosylate (XVI), which is protected at the secondary OH group by silylation with TBDMS-Cl and imidazole to yield the silyl ether (XVII). Oxidation of the tosyloxy group of (XVII) with O2 and t-BuOK in DMSO/t-BuOH affords ketone (XVIII), which is reduced with K and i-PrOH providing alcohol (XIX). Condensation of compound (XIX) with ethyl prop-ynoate (XX) by means of NMM in benzene gives the alkoxyacrylate (XXI), which is reduced with H2 over Pd/C in EtOH to yield the alkoxypropionate (XXII). Deprotection of the OH group of (XXII) with HF in acetonitrile affords alcohol (XXIII), which is oxidized with pyridinium dichromate (PDC) in CH2Cl2 providing ketone (XXIV). Wittig-Horner condensation of ketone (XXIV) with phosphine oxide (XIV) by means of BuLi in THF yields the corresponding adduct (XXV), which is submitted to a Grignard reaction with MeLi in THF to give the protected maxacalcitol precursor (XXVI). Finally, this compound is desilylated by means of TBAF in THF.

合成路线图解说明:

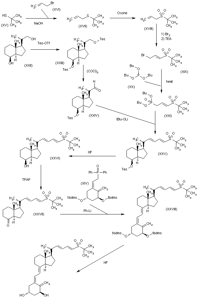
The intermediate phosphonate (XXI) has been obtained as follows: The reaction of tert-butyl mercaptan (XV) with allyl bromide (XVI) by means of NaOH in ethanol gives the sulfide (XVII), which is oxidized with Oxone in methanol/water to yield the sulfone (XVIII). The bromination of (XVIII) with Br2 in CCl4 followed by dehydrobromination with TEA affords the bromosulfone (XIX), which is finally condensed with tributyl phosphite (XX) by heating at 130 C to provide the target intermediate phosphonate (XXI). The silylation of the known diol (XXII) (obtained by degradation of vitamin D2) with Tes-OTf and lutidine gives the bis silyl ether (XXIII), which is submitted to a Swern oxidation ((COCl)2), yielding the carbaldehyde (XXIV). The Wadsworth-Emmons condensation of aldehyde (XXIV) with the intermediate phosphonate (XXI) by means of tBu-OLi affords the diinsaturated sulfone (XXV), which is desilylated with HF in THF to provide the alcohol (XXVI). The oxidation of (XXVI) with TPAP and NMO furnishes the ketone (XXVII), which is submitted to a Wittig-Horner condensation with the intermediate phosphine oxide (XIV) by means of PhLi, giving the silylated precursor (XXVIII). Finally, this compound is desilylated with HF in ethanol to afford the target vitamin D3 analogue.

Drug Information Express,Drug R&D,Chemical Database,Patent Search.
Copyright © 2006-2026 Drug Future. All rights reserved.Contact Us