【药物名称】Ipsapirone, Bay-q-7821(hydrochloride), TVX-Q-7821(hydrochloride)
化学结构式(Chemical Structure):
参考文献No.2273
标题:2-pyrimidinyl-1-piperazine derivatives, proceses for their preparation and medicaments containing them
作者:Seidel, P.-R.; Horstmann, H.; Traber, J.; Dompert, W.; Glaser, T.; Schuurman, T. (Troponwerke GmbH & Co KG)
来源:EP 0129128; JP 60023373; US 4818756; US 4937343; US 4988809
合成路线图解说明:

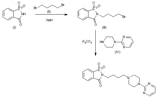
The reaction of benzoisothiazole-3(2H)-one-1,1-dioxide (I) with 1,4-dibromobutane (II) by means of NaH in DMF gives 2-(4-bromobutyl)benzoisothiazole-3(2H)-one-1,1-dioxide (III), which is then condensed with 1-(2 pyrimidinyl)piperazine (IV) by means of K2CO3 in refluxing chlorobenzene.

参考文献No.66395
标题:Ipsapirone
作者:Casta馿r, J.; Prous, J.
来源:Drugs Fut 1986,11(7),565
合成路线图解说明:

The reaction of benzoisothiazole-3(2H)-one-1,1-dioxide (I) with 1,4-dibromobutane (II) by means of NaH in DMF gives 2-(4-bromobutyl)benzoisothiazole-3(2H)-one-1,1-dioxide (III), which is then condensed with 1-(2 pyrimidinyl)piperazine (IV) by means of K2CO3 in refluxing chlorobenzene.

Drug Information Express,Drug R&D,Chemical Database,Patent Search.
Copyright © 2006-2026 Drug Future. All rights reserved.Contact Us