【药物名称】Setiptiline maleate, Teciptiline maleate, MOD-20, Org-8282(free base), MO-8282, Tecipul
化学结构式(Chemical Structure):
参考文献No.3657
标题:2-[2'-Hydroxy-3'-(1,1-dimethylpropylamino)-propoxy]-beta-phenylpropiophenone, its physiologically acceptable acid addition salts, and pharmaceutical compsns.
作者:Petrik, G.; Sachse, R. (Helopharm KG)
来源:DE 3133814; US 4460605
合成路线图解说明:

The condensation of 2'-hydroxy-3-phenylpropiophenone (I) with 1 chloro-2,3-epoxypropane (II) by means of K2CO3 gives 2'-(2,3-epoxypropoxy)-3-phenylpropiophenone (III), which is then treated with 2-methyl-2-aminobutane (IV) in refluxing methanol.

合成路线图解说明:

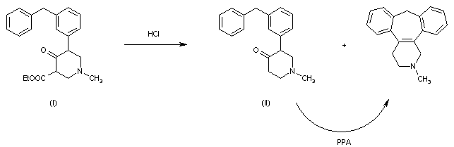
The reaction of ethyl 3-(2-benzylphenyl)-1-methyl-4-oxopiperidine-5-carboxylate (I) with refluxing 5N HCl gives a mixture of 3-(2-benzylphenyl)-1-methyl-4 piperidone (II) and MO-8282. The inter mediate product (II) is cyclized by heating at 100 C with polyphosphoric acid (PPA).

参考文献No.70142
标题:Teciptiline maleate
作者:Casta馿r, J.; Prous, J.
来源:Drugs Fut 1986,11(8),676
合成路线图解说明:

The reaction of ethyl 3-(2-benzylphenyl)-1-methyl-4-oxopiperidine-5-carboxylate (I) with refluxing 5N HCl gives a mixture of 3-(2-benzylphenyl)-1-methyl-4 piperidone (II) and MO-8282. The inter mediate product (II) is cyclized by heating at 100 C with polyphosphoric acid (PPA).

Drug Information Express,Drug R&D,Chemical Database,Patent Search.
Copyright © 2006-2026 Drug Future. All rights reserved.Contact Us