【药物名称】Nifalatide hydrochloride, BW-942C
化学结构式(Chemical Structure):
参考文献No.42004
标题:Treatment of diarrhoea and dysentery
作者:Wilkinson, S. (Glaxo Wellcome Inc.)
来源:JP 7992938
合成路线图解说明:

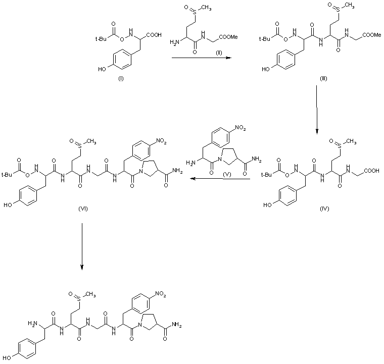
The condensation of tert-butoxycarbonyltyrosine (I) with methionylglycine methyl ester S-oxide (II) gives the protected tripeptide (III), which is saponified to tert-butoxycarbonyltyrosyl-methionylglycine S-oxide (IV). The condensation of (IV) with 4-nitrophenylalanyl-prolinamide (V) yields the protected tripeptide (VI), which is finally deprotected as usual.

参考文献No.70122
标题:Nifalatide hydrochloride
作者:Casta馿r, J.; Prous, J.
来源:Drugs Fut 1986,11(8),657
合成路线图解说明:

The condensation of tert-butoxycarbonyltyrosine (I) with methionylglycine methyl ester S-oxide (II) gives the protected tripeptide (III), which is saponified to tert-butoxycarbonyltyrosyl-methionylglycine S-oxide (IV). The condensation of (IV) with 4-nitrophenylalanyl-prolinamide (V) yields the protected tripeptide (VI), which is finally deprotected as usual.

Drug Information Express,Drug R&D,Chemical Database,Patent Search.
Copyright © 2006-2026 Drug Future. All rights reserved.Contact Us