【药物名称】NSC-619003, KRN-8602(diHCl), MX2, R-20X2(as de-morpholino analog)
化学结构式(Chemical Structure):
参考文献No.4848
标题:Anthracycline cpds
作者:Kawai, H.; Komeshima, N.; Mizobuchi, S.; Nakajima, S.; Odagawa, A.; Otake, N.; Tatsuta, K. (Microbial Chemistry Research Foundation)
来源:EP 0188293; JP 1986167696; JP 1987016495; US 4710564
合成路线图解说明:

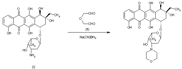
A fermentation broth of RMN-134-13 was filtered, adjusted at pH 3.4 and centrifuged. The liquid was passed through Diajon HP-20 and eluted with acetone-0.01 M HCl-KCl buffer. The luate was combined with the precipitate of the preceding centrifugation to which acetone and 28% aq. ammonia was added. After stirring for 3-4 h at 20 C the solution was adjusted at pH 7.2 with H2SO4, concentrated and extracted with CH3OH-CHCl3. After a cumbersome purification by HPLC, 13 deoxo-10-hydroxycarminomycin (oxaunomycin) (I) was obtained. Finally, the preceding compound was treated with diglycol dialdehyde (II) and sodium cyano-borohydride in CHCl3.

参考文献No.70086
标题:MX2
作者:Prous, J.; Casta馿r, J.
来源:Drugs Fut 1988,13(10),923
合成路线图解说明:

A fermentation broth of RMN-134-13 was filtered, adjusted at pH 3.4 and centrifuged. The liquid was passed through Diajon HP-20 and eluted with acetone-0.01 M HCl-KCl buffer. The luate was combined with the precipitate of the preceding centrifugation to which acetone and 28% aq. ammonia was added. After stirring for 3-4 h at 20 C the solution was adjusted at pH 7.2 with H2SO4, concentrated and extracted with CH3OH-CHCl3. After a cumbersome purification by HPLC, 13 deoxo-10-hydroxycarminomycin (oxaunomycin) (I) was obtained. Finally, the preceding compound was treated with diglycol dialdehyde (II) and sodium cyano-borohydride in CHCl3.

参考文献No.547100
标题:New morpholino anthrcyclines: MX, MX2 and MY5
作者:Umezawa, H.; Nakajima, S.; Kawai, H.; Komeshima, N.; Yoshimoto, H.; Urata, T.; Odagawa, A.; Otsuki, N.; Tatsuta, K.; Otake, N.; et al.
来源:J Antibiot 1987,40(7),1058
合成路线图解说明:

A fermentation broth of RMN-134-13 was filtered, adjusted at pH 3.4 and centrifuged. The liquid was passed through Diajon HP-20 and eluted with acetone-0.01 M HCl-KCl buffer. The luate was combined with the precipitate of the preceding centrifugation to which acetone and 28% aq. ammonia was added. After stirring for 3-4 h at 20 C the solution was adjusted at pH 7.2 with H2SO4, concentrated and extracted with CH3OH-CHCl3. After a cumbersome purification by HPLC, 13 deoxo-10-hydroxycarminomycin (oxaunomycin) (I) was obtained. Finally, the preceding compound was treated with diglycol dialdehyde (II) and sodium cyano-borohydride in CHCl3.

Drug Information Express,Drug R&D,Chemical Database,Patent Search.
Copyright © 2006-2026 Drug Future. All rights reserved.Contact Us