【药物名称】SS-555
化学结构式(Chemical Structure):
参考文献No.5199
标题:Antitumor formulation containing lipopolysaccharide with trehalose derivs.
作者:Fukushi, K. (SSP Co., Ltd.)
来源:US 4612304
合成路线图解说明:

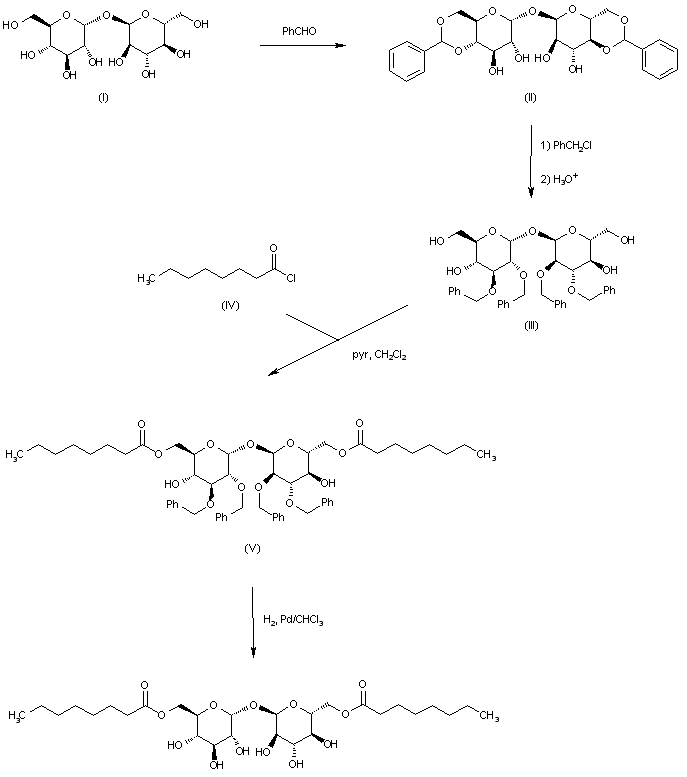
2,2',3,3'-Tetra-O-benzyl-alpha,alpha-trehalose (III) was prepared by condensation of trehalose (I) with benzaldehyde, followed by alkylation of the resulting bisbenzylidene derivative (II) with benzyl chloride and then acid hydrolysis of the benzylidene ketal. Acylation of (III) with octanoyl chloride (IV) in the presence of pyridine provided diester (V). Finally, catalytic hydrogenolysis of the benzyl protecting groups yielded the title compound.

参考文献No.40779
标题:alphaalpha-Trehalose-6,6'-middle chained aliphatic acid diester and a pharmaceutical agent containing the same
作者:Kukita, K.; Shibata, A.; Katori, T.; Nishikawa, Y.; Yoshimoto, K. (SSP Co., Ltd.)
来源:DE 3241199; FR 2534259; GB 2133399
合成路线图解说明:

2,2',3,3'-Tetra-O-benzyl-alpha,alpha-trehalose (III) was prepared by condensation of trehalose (I) with benzaldehyde, followed by alkylation of the resulting bisbenzylidene derivative (II) with benzyl chloride and then acid hydrolysis of the benzylidene ketal. Acylation of (III) with octanoyl chloride (IV) in the presence of pyridine provided diester (V). Finally, catalytic hydrogenolysis of the benzyl protecting groups yielded the title compound.

Drug Information Express,Drug R&D,Chemical Database,Patent Search.
Copyright © 2006-2026 Drug Future. All rights reserved.Contact Us