【药物名称】Talipexole dihydrochloride, BHT-920, B-HT-920, Domin
化学结构式(Chemical Structure):
参考文献No.47000
标题:2-Amino-4,5,7,8-tetrahydro-6H-thiazolo or oxazolo[5,4-d]azepines and salts
作者:Griss, G.; Kleemann, M.; Grell, W.; Ballhause, H. (Boehringer Ingelheim GmbH)
来源:DE 2127267; ES 396454; FR 2102192; GB 1321509; NL 7111176; US 3804849
合成路线图解说明:

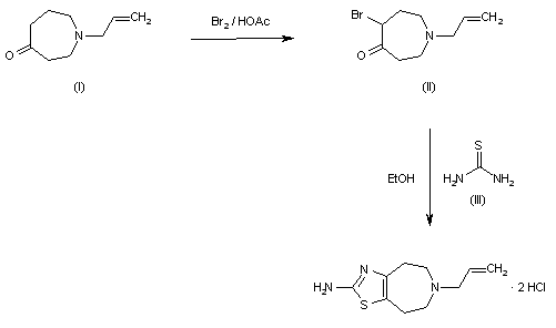
The bromination of 1-allylhexahydro-4H-azepin-4-one (I) with Br2 in acetic acid gives 1-allyl-5-bromohexahydro-4H-azepin-4-one (II), which is cyclized with thiourea (III) in refluxing ethanol.

参考文献No.77897
标题:B-HT-920
作者:Serradell, M.N.; Blancafort, P.; Casta馿r, J.; Thorpe, P.J.
来源:Drugs Fut 1980,5(10),481
合成路线图解说明:

The bromination of 1-allylhexahydro-4H-azepin-4-one (I) with Br2 in acetic acid gives 1-allyl-5-bromohexahydro-4H-azepin-4-one (II), which is cyclized with thiourea (III) in refluxing ethanol.

Drug Information Express,Drug R&D,Chemical Database,Patent Search.
Copyright © 2006-2026 Drug Future. All rights reserved.Contact Us