【药物名称】Loxoprofen sodium, CS-600G, LX-A, CS-600, Loxonin
化学结构式(Chemical Structure):
参考文献No.46039
标题:Substituted phenylacetic acid derivatives and process for the preparation thereof
作者:Misaka, E.; Terada, A.; Wachi, K. (Sankyo Co., Ltd.)
来源:DE 2814556; ES 468578; FR 2395256; GB 1580113; US 4161538
合成路线图解说明:

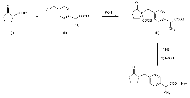
The reaction of ethyl 2-oxocyclopentanecarboxylate (I) with ethyl 2-(4-chloromethylphenyl)propionate (II) by means of KOH in hot DMF gives ethyl 2-[4-(1-ethoxycarbonyl-2-oxocyclopentan-1-ylmethyl)phenyl]propionate (III), which is then hydrolyzed and decarboxylated by treatment with 47% HBr in refluxing dioxane.

参考文献No.56163
标题:Loxoprofen
作者:Casta馿r, J.; Serradell, M.N.
来源:Drugs Fut 1984,9(1),22
合成路线图解说明:

The reaction of ethyl 2-oxocyclopentanecarboxylate (I) with ethyl 2-(4-chloromethylphenyl)propionate (II) by means of KOH in hot DMF gives ethyl 2-[4-(1-ethoxycarbonyl-2-oxocyclopentan-1-ylmethyl)phenyl]propionate (III), which is then hydrolyzed and decarboxylated by treatment with 47% HBr in refluxing dioxane.

Drug Information Express,Drug R&D,Chemical Database,Patent Search.
Copyright © 2006-2026 Drug Future. All rights reserved.Contact Us