【药物名称】Azosemide, SK 110, PLE 1053, Diart, Luret
化学结构式(Chemical Structure):
参考文献No.46627
标题:Process for the production of 5-(4'-chloro-5'-sulfamoyl-2'-thenylamino)phenyltetrazole
作者:Baetz, F.; Lauer, K. (Boehringer Ingelheim GmbH)
来源:DE 3034664; JP 57081485
合成路线图解说明:

A new synthetic procedure for azosemide has been reported: The condensation of 2-formylthiophene (I) with 2-chloro-4-amino-5-(5-tetrazolyl)benzenesulfonamide (II) by means of polyphosphoric acid (PPA) in DMSO gives the corresponding Schiff base (III), which is reduced with KBH4 in the same solvent.

参考文献No.47014
标题:5-Phenyltetrazole derivatives
作者:Popelak, A.; et al. (Boehringer Ingelheim GmbH)
来源:DE 1815922; FR 2026688; GB 1237790; US 3665002
合成路线图解说明:

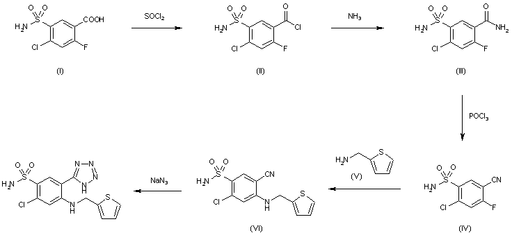
The reaction of 2-fluoro-4-chloro-5-sulfamoylbenzoic acid (I) with refluxing SOCl2 gives the corresponding acyl chloride (II), which by reaction with aqueous NH3 is transformed into the amide (III). The dehydration of (III) with refluxing POCl3 affords the nitrile (IV), which is then condensed with thenylamine (V) to yield 4-chloro-2-thenylamino-5-sulfamoylbenzonitrile (VI). Finally, this compound is cyclized with sodium azide in DMF at 100 C.

参考文献No.56147
标题:Azosemide
作者:Serradell, M.N.; Casta馿r, J.; Blancafort, P.; Hillier, K.
来源:Drugs Fut 1979,4(6),393
合成路线图解说明:

The reaction of 2-fluoro-4-chloro-5-sulfamoylbenzoic acid (I) with refluxing SOCl2 gives the corresponding acyl chloride (II), which by reaction with aqueous NH3 is transformed into the amide (III). The dehydration of (III) with refluxing POCl3 affords the nitrile (IV), which is then condensed with thenylamine (V) to yield 4-chloro-2-thenylamino-5-sulfamoylbenzonitrile (VI). Finally, this compound is cyclized with sodium azide in DMF at 100 C.

Drug Information Express,Drug R&D,Chemical Database,Patent Search.
Copyright © 2006-2026 Drug Future. All rights reserved.Contact Us