【药物名称】Phosphenytoin sodium, Fosphenytoin sodium, ACC-9653-010, CI-982, ACC-9653, Pro-Epanutin, Cerebyx
化学结构式(Chemical Structure):
参考文献No.84548
标题:ACC-9653
作者:Prous, J.; Casta馿r, J.
来源:Drugs Fut 1989,14(7),611
合成路线图解说明:

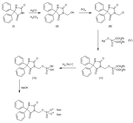
The reaction of 5,5-diphenylhydantoin (phenytoin) (I) with formaldehyde by means of K2CO3 in water gives 3-(hydroxymethyl)-5,5-diphenylhydantoin (II), which is treated with PCl3 in dichloromethane to afford 3-(chloromethyl)-5,5-diphenylhydantoin (III). The condensation of (III) with silver dibenzyl phosphate (IV) in refluxing benzene yields dibenzyl 5,5-diphenylhydantoin-3-ylmethyl phosphate (V), which is converted to the corresponding free phosphoric acid (VI) by reduction with H2 over Pd/C in ethyl acetate. Finally, this compound is treated with NaOH in methanol.

参考文献No.107036
标题:Phenytoin prodrugs III: Water-soluble prodrugs for oral and/or parenteral use
作者:Schuller, S.; Varia, S.A.; Sloan, K.B.; Stella, V.J.
来源:J Pharm Sci 1984,73(8),1068
合成路线图解说明:

The reaction of 5,5-diphenylhydantoin (phenytoin) (I) with formaldehyde by means of K2CO3 in water gives 3-(hydroxymethyl)-5,5-diphenylhydantoin (II), which is treated with PCl3 in dichloromethane to afford 3-(chloromethyl)-5,5-diphenylhydantoin (III). The condensation of (III) with silver dibenzyl phosphate (IV) in refluxing benzene yields dibenzyl 5,5-diphenylhydantoin-3-ylmethyl phosphate (V), which is converted to the corresponding free phosphoric acid (VI) by reduction with H2 over Pd/C in ethyl acetate. Finally, this compound is treated with NaOH in methanol.

Drug Information Express,Drug R&D,Chemical Database,Patent Search.
Copyright © 2006-2026 Drug Future. All rights reserved.Contact Us