【药物名称】Troquidazole, EGIS-4136
化学结构式(Chemical Structure):
参考文献No.5075
标题:N-(3-Nitroquinolin-4-yl)guanidine derivatives as radiosensitizers. (EGIS Pharm., Ltd.)
作者:Ber閚yi, E.; Varga, L.; Pallos, L.; Pet鯿z, L.; Lad醤yi, L.; T鰉pe, P.; Hartai, E.; Kov醕s, A. (Egis Pharmaceuticals Ltd.)
来源:BE 0904864; CH 668069; ES 8707231; GB 2176185; JP 1987048668; US 4652562
合成路线图解说明:

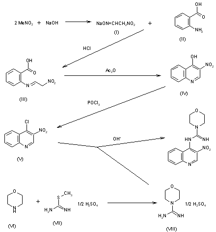
Nitroacetaldehyde oxime (I) is formed from nitromethane in the presence of NaOH and is converted in acidic media with 2-aminobenzoic acid (II) to 2-(2-nitroethylideneamino)benzoic acid (III). Cyclization of (III) in acetic anhydride by means of potassium acetate yields 4-hydroxy-3-nitroquinoline (IV), which is converted to 4-chloro-3-nitroquinoline (V) in boiling POCl3. Reaction of (V) with morpholinecarboximidamide (VIII) (formed from morpholine (VI) and S-methylisothiourea hemisulfate (VII) in ethanol) affords troquidazole.

参考文献No.173768
标题:Troquidazole
作者:N骻r醖i, M.; Ber閚yi, E.; Blask? G.
来源:Drugs Fut 1992,17(5),384
合成路线图解说明:

Nitroacetaldehyde oxime (I) is formed from nitromethane in the presence of NaOH and is converted in acidic media with 2-aminobenzoic acid (II) to 2-(2-nitroethylideneamino)benzoic acid (III). Cyclization of (III) in acetic anhydride by means of potassium acetate yields 4-hydroxy-3-nitroquinoline (IV), which is converted to 4-chloro-3-nitroquinoline (V) in boiling POCl3. Reaction of (V) with morpholinecarboximidamide (VIII) (formed from morpholine (VI) and S-methylisothiourea hemisulfate (VII) in ethanol) affords troquidazole.

Drug Information Express,Drug R&D,Chemical Database,Patent Search.
Copyright © 2006-2026 Drug Future. All rights reserved.Contact Us