【药物名称】TK-117
化学结构式(Chemical Structure):
参考文献No.5072
标题:5-Fluoro-(beta-uridine or 2'-deoxy-beta-uridine) derivatives, a process for producing the same and a carcinostatic agent containing the same
作者:Terashima, N.; Kitayama, I.; Yamaguchi, T.; Hiraiwa, T.; Omori, M.; Senoura, M.; Yotsuji, M.; Kodama, T.; Kodama, Y.; Aoyama, H. (Toyama Chemical Co., Ltd.)
来源:DE 2923368
合成路线图解说明:

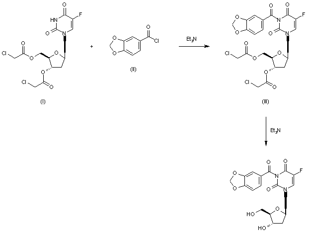
The acylation of 3',5'-di-O-(chloroacetyl)-5-fluoro-2'-deoxyuridine (I) with 3,4-methylenedioxybenzoyl chloride (II) by means of triethylamine in dichloromethane gives 3',5'-di-O-(chloroacetyl)-3-(3,4-methylenedioxybenzoyl)-2'-deoxy-5-fluorouridine (III), which is then hydrolyzed with triethylamine in methanol-THF.

参考文献No.77891
标题:TK-117
作者:Casta馿r, J.; Casta馿r, R.M.; Hoshi, A.; Serradell, M.N.
来源:Drugs Fut 1987,12(9),865
合成路线图解说明:

The acylation of 3',5'-di-O-(chloroacetyl)-5-fluoro-2'-deoxyuridine (I) with 3,4-methylenedioxybenzoyl chloride (II) by means of triethylamine in dichloromethane gives 3',5'-di-O-(chloroacetyl)-3-(3,4-methylenedioxybenzoyl)-2'-deoxy-5-fluorouridine (III), which is then hydrolyzed with triethylamine in methanol-THF.

Drug Information Express,Drug R&D,Chemical Database,Patent Search.
Copyright © 2006-2026 Drug Future. All rights reserved.Contact Us