【药物名称】Osaterone acetate, TZP-4238, Hipros
化学结构式(Chemical Structure):
参考文献No.5046
标题:2-Oxa- or aza-pregnane derivs
作者:Shibata, K.; Yamakoshi, N.; Koizumi, N.; Takegawa, S.; Shimazawa, E.; Mieda, M. (Teikoku Hormone Manufacturing Co., Ltd.)
来源:AU 8654245; EP 0193871; ES 8801510; ES 8801669; ES 8801670; ES 8801928; JP 1986204198; JP 1986204199; US 4735103; US 4914106
合成路线图解说明:

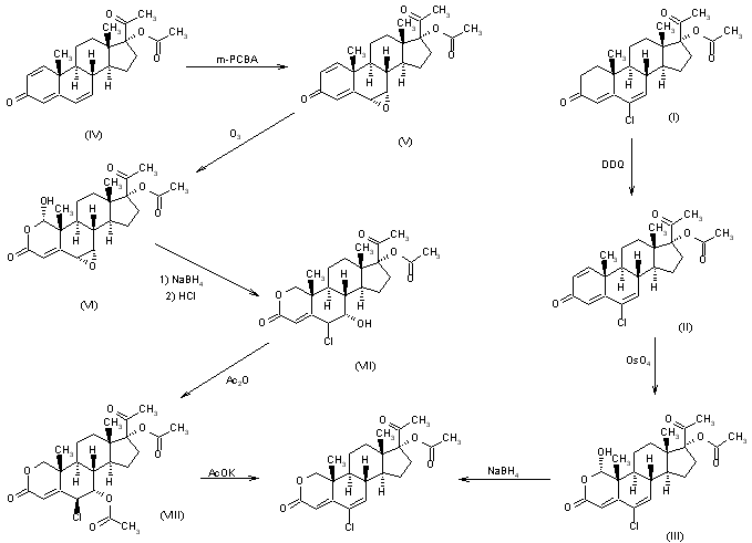
This compound can be prepared by two different ways: 1) The dehydrogenation of 17alpha-acetoxy-6-chloropregna-4,6-diene-3,20-dione (I) with 2,3-dichloro-5,6-dicyanobenzoquinone (DDQ) in refluxing dioxane gives 17alpha-acetoxy-6-chloropregna-1,4,6-triene-3,20-trione (II), which is oxidized with OsO4 and NaIO4 in refluxing dioxane, yielding 17alpha-acetoxy-6-chloro-1alpha-hydroxy-2-oxapregna-4,6-diene-3,20-dion e (III). Finally, this compound is treated with NaBH4 and NaHCO3 in methanol-THF. 2) Epoxidation of 17alpha-acetoxypregna-1,4,6-triene-3,20-dione (IV) with m-chloroperbenzoic acid (MCPBA) in chloroform gives 17alpha-acetoxy-6alpha,7alpha-epoxypregnan-1,4-diene-3,20-dione (V), which is treated with ozone in pyridine at -30 C, yielding 17alpha-acetoxy-6alpha,7alpha-epoxy-1alpha-hydroxy-2-oxapregn-4-ene-3,20-dione (VI). The reduction of (VI) with NaBH4 in methanol-THF followed by epoxide ring opening with concentrated HCl affords 17alpha-acetoxy-6beta-chloro-7alpha-hydroxy-2-oxapregn-4-ene-3,20-dione (VII), which is acetylated with acetic anhydride in pyridine to the diacetate (VIII). Finally, this compound is treated with potassium acetate in hot DMF to afford the title product.

参考文献No.183223
标题:Antiandrogen. I. 2-Azapregnane and 2-oxapregnane steroids
作者:Shibata, K.; Takegawa, S.; Koizumi, N.; Yamakoshi, N.; Shimazawa, E.
来源:Chem Pharm Bull 1992,40(4),935-41
合成路线图解说明:

This compound can be prepared by two different ways: 1) The dehydrogenation of 17alpha-acetoxy-6-chloropregna-4,6-diene-3,20-dione (I) with 2,3-dichloro-5,6-dicyanobenzoquinone (DDQ) in refluxing dioxane gives 17alpha-acetoxy-6-chloropregna-1,4,6-triene-3,20-trione (II), which is oxidized with OsO4 and NaIO4 in refluxing dioxane, yielding 17alpha-acetoxy-6-chloro-1alpha-hydroxy-2-oxapregna-4,6-diene-3,20-dion e (III). Finally, this compound is treated with NaBH4 and NaHCO3 in methanol-THF. 2) Epoxidation of 17alpha-acetoxypregna-1,4,6-triene-3,20-dione (IV) with m-chloroperbenzoic acid (MCPBA) in chloroform gives 17alpha-acetoxy-6alpha,7alpha-epoxypregnan-1,4-diene-3,20-dione (V), which is treated with ozone in pyridine at -30 C, yielding 17alpha-acetoxy-6alpha,7alpha-epoxy-1alpha-hydroxy-2-oxapregn-4-ene-3,20-dione (VI). The reduction of (VI) with NaBH4 in methanol-THF followed by epoxide ring opening with concentrated HCl affords 17alpha-acetoxy-6beta-chloro-7alpha-hydroxy-2-oxapregn-4-ene-3,20-dione (VII), which is acetylated with acetic anhydride in pyridine to the diacetate (VIII). Finally, this compound is treated with potassium acetate in hot DMF to afford the title product.

参考文献No.209246
标题:Osaterone Acetate
作者:Mealy, N.; Casta馿r, J.; Prous, J.
来源:Drugs Fut 1993,18(6),516
合成路线图解说明:

This compound can be prepared by two different ways: 1) The dehydrogenation of 17alpha-acetoxy-6-chloropregna-4,6-diene-3,20-dione (I) with 2,3-dichloro-5,6-dicyanobenzoquinone (DDQ) in refluxing dioxane gives 17alpha-acetoxy-6-chloropregna-1,4,6-triene-3,20-trione (II), which is oxidized with OsO4 and NaIO4 in refluxing dioxane, yielding 17alpha-acetoxy-6-chloro-1alpha-hydroxy-2-oxapregna-4,6-diene-3,20-dion e (III). Finally, this compound is treated with NaBH4 and NaHCO3 in methanol-THF. 2) Epoxidation of 17alpha-acetoxypregna-1,4,6-triene-3,20-dione (IV) with m-chloroperbenzoic acid (MCPBA) in chloroform gives 17alpha-acetoxy-6alpha,7alpha-epoxypregnan-1,4-diene-3,20-dione (V), which is treated with ozone in pyridine at -30 C, yielding 17alpha-acetoxy-6alpha,7alpha-epoxy-1alpha-hydroxy-2-oxapregn-4-ene-3,20-dione (VI). The reduction of (VI) with NaBH4 in methanol-THF followed by epoxide ring opening with concentrated HCl affords 17alpha-acetoxy-6beta-chloro-7alpha-hydroxy-2-oxapregn-4-ene-3,20-dione (VII), which is acetylated with acetic anhydride in pyridine to the diacetate (VIII). Finally, this compound is treated with potassium acetate in hot DMF to afford the title product.

Drug Information Express,Drug R&D,Chemical Database,Patent Search.
Copyright © 2006-2026 Drug Future. All rights reserved.Contact Us