【药物名称】CGP-31608
化学结构式(Chemical Structure):
参考文献No.62382
标题:CGP-31608
作者:Cozens, R.M.; Lang, M.
来源:Drugs Fut 1988,13(1),19
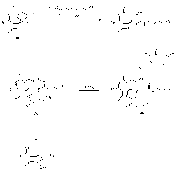
合成路线图解说明:

Substitution with sodium [N-(allyloxycarbonyl)amino]thioacetate of the tert-butylsulfonyl group of the (3S,4R)-azetidinone (I) (obtained in several steps from L threonine), with overall retention of configuration at C-4, gives the azetidinone (II), wnich is converted with allyloxalyl chloride to the oxamide (III). Cyclization of (III) with triethylphosphite yields the (5R,6S,1'R)-allyl-2-(allyloxycarbonylaminomethyl)-6-(1'-allyloxycarbonyloxyethyl)penem-3-carboxylate (IV), which is deprotected to yield crystalline CGP-31608.

参考文献No.700246
标题:
作者:Gregg, C.; Tioutiounnik, N.; Dempsey, W.; Revankar, S.
来源:Helv Chim Acta 1986,691576
合成路线图解说明:

Substitution with sodium [N-(allyloxycarbonyl)amino]thioacetate of the tert-butylsulfonyl group of the (3S,4R)-azetidinone (I) (obtained in several steps from L threonine), with overall retention of configuration at C-4, gives the azetidinone (II), wnich is converted with allyloxalyl chloride to the oxamide (III). Cyclization of (III) with triethylphosphite yields the (5R,6S,1'R)-allyl-2-(allyloxycarbonylaminomethyl)-6-(1'-allyloxycarbonyloxyethyl)penem-3-carboxylate (IV), which is deprotected to yield crystalline CGP-31608.

Drug Information Express,Drug R&D,Chemical Database,Patent Search.
Copyright © 2006-2026 Drug Future. All rights reserved.Contact Us