【药物名称】Famciclovir, BRL-42810, Famvir
化学结构式(Chemical Structure):
参考文献No.104115
标题:Prodrugs of the selective antiherpesvirus agent 9-[4-hydroxy-3-(hydroxy methyl)but-1-yl]guanine (BRL 39123) with improved gastrointestinal absorption properties
作者:Harnden, M.R.; Boyd, M.R.; Vere Hodge, R.A.; Jarvest, R.L.; Sutton, D.
来源:J Med Chem 1989,321738-43
合成路线图解说明:

A synthesis of famciclovir that corresponds to that previously published and studies on its oral bioavailability in rats and mice, identifying famciclovir as the preferred prodrug of BRL-39123 (penciclovir), have been published.

合成路线图解说明:

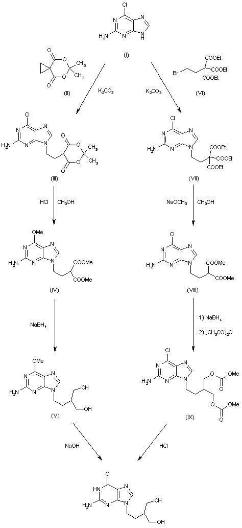
The reaction of purine (I) with 3-bromopropane-1,1,1-tricarboxylic acid triethyl ester (II) by means ofK2CO3 in DMF gives the expected condensation product (III), which is partially decarboxylated with sodium methoxide in methanol yielding 2-[2-(2-amino-6-chloropurin-9-yl)ethyl]malonic acid diethyl ester (IV). The reduction of (IV) with NaBH4 in tert-butanol/methanol followed by acetylation with acetic anhydride affords the corresponding diol diacetate (V), which is finally converted into famciclovir by reductive dechlorination with H2 over Pd/C in ethyl acetate/triethylamine.

参考文献No.367167
标题:A direct approach to the synthesis of famciclovir and penciclovir
作者:Choudary, B.M.; Geen, G.R.; Kincey, P.M.; Parratt, M.J.; Dales, J.R.M.; Johnson, G.P.; O'Donnell, S.; Tudor, D.W.; Woods, N.
来源:Nucleosides Nucleotides 1996,15(5),981
合成路线图解说明:

This compound has been obtained by two similar ways: 1) The reaction of 6-chloropurine-2-amine (I) with 6,6-dimethyl-5,7-dioxaspiro[2.5]octane-4,8-dione (II) by means of K2CO3 in DMF gives the expected condensation product (III), which is methanolized with HCl/methanol yielding 2-[2-(2-amino-6-methoxypurin-9-yl)ethyl]malonic acid dimethyl ester (IV). The reduction of (IV) with NaBH4 in tert-butanol/methanol affords the corresponding diol (V), which is finally converted into pecnciclovir by hydrolysis with 2N NaOH. 2) The reaction of purine (I) with 3-bromopropane-1,1,1-tricarboxylic acid triethyl ester (VI) by means ofK2CO3 in DMF gives the expected condensation product (VII), which is partially decarboxylated with sodium methoxide in methanol yielding 2-[2-(2-amino-6-chloropurin-9-yl)ethyl]malonic acid diethyl ester (VIII). The reduction of (VIII) with NaBH4 in tert-butanol/methanol followed by acetylation with acetic anhydride affords the corresponding diol diacetate (IX), which is finally converted into penciclovir by hydrlysis with 2N HCl.

合成路线图解说明:

A synthesis of famciclovir that corresponds to that previously published and studies on its oral bioavailability in rats and mice, identifying famciclovir as the preferred prodrug of BRL-39123 (penciclovir), have been published.

合成路线图解说明:

The reaction of purine (I) with 3-bromopropane-1,1,1-tricarboxylic acid triethyl ester (II) by means ofK2CO3 in DMF gives the expected condensation product (III), which is partially decarboxylated with sodium methoxide in methanol yielding 2-[2-(2-amino-6-chloropurin-9-yl)ethyl]malonic acid diethyl ester (IV). The reduction of (IV) with NaBH4 in tert-butanol/methanol followed by acetylation with acetic anhydride affords the corresponding diol diacetate (V), which is finally converted into famciclovir by reductive dechlorination with H2 over Pd/C in ethyl acetate/triethylamine.

参考文献No.586885
标题:A new route to famciclovir via palladium catalysed allylation
作者:Geen, G.R.; Share, A.C.; Slater, G.R.; Ramsay, T.W.; Smith, N.M.; Freer, R.
来源:Tetrahedron 2000,56(26),4589
合成路线图解说明:

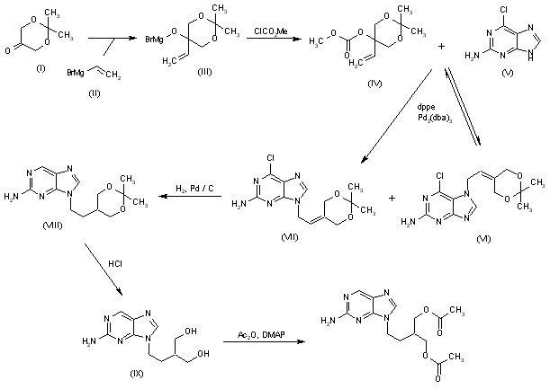
A new synthetic route to famciclovir has been described: The alkylation of 2,2-dimethyl-1,3-dioxan-5-one (I) with vinylmagnesium bromide (II) in THF gives the 2,2-dimethyl-5-vinyl-1,3-dioxan-5-ol derivative (II), which is treated with methyl chloroformate in the same solvent to yield the mixed carbonate (IV). Condensation of (IV) with 6-chloropurine-2-amine (V) by means of 1,2-bis(diphenylphosphino)ethane (dppe) and tris(dibenzylideneacetone)dipalladium(0) [Pd2(dba)3] in DMF at 80 癈 for 7.5 h affords a 5:95 mixture of the N-7 (VI) and N-9 (VII) regioisomers, respectively. Hydrogenation of regioisomer (VII) with H2 over Pd/C in THF eliminates the 6-chlorine atom and reduces the exocyclic double bond giving the 2-aminopurine derivative (VIII), which is treated with HCl in methanol to remove the acetonide group affording diol (IX). Finally, this compound is acylated with acetic anhydride and DMAP/TEA in dichloromethane.

Drug Information Express,Drug R&D,Chemical Database,Patent Search.
Copyright © 2006-2026 Drug Future. All rights reserved.Contact Us