【药物名称】Sulpiride [L-(-)], Levosulpiride, RV-12309, Levopraid
化学结构式(Chemical Structure):
参考文献No.61874
标题:Levosulpiride
作者:Forgione, A.
来源:Drugs Fut 1987,12(10),944
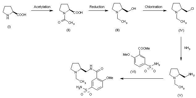
合成路线图解说明:

Optically active sulpiride is prepared by converting levo-proline (I) to the correspondig levorotatory acetylproline (II), followed by reduction, chlorination and amination to afford levorotatory N-ethyl-2-aminomethylpyrrolidine (V), which, upon treatment with an ester of 2-methoxy-5-sulfamoylbenzoic acid (VI), yields N-(1-ethyl-2-pyrrolidinomethyl)-2-methoxy-5-sulfamoylbenzamide, that is, the levorotatory enantiomer of sulpiride.

参考文献No.89940
标题:Synthesis of D3-sulpiride and its (R) and (S) isomers
作者:Al-Koutayni-Rifai, M.; Jamet, G.; Kerr, R.R.; Jung, L.; Koffel, J.C.
来源:J Label Compd Radiopharm 1989,27(7),811
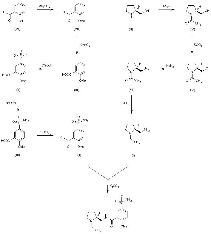
合成路线图解说明:

This compound is obtained by condensation of 2(S)-(aminomethyl)-1-ethylpyrrolidine (I) with 5-(aminosulfonyl)-2-methoxybenzoyl chloride (II) by means of K2CO3 in acetone. The starting compounds (I) and (II) are obtained as follows: a) The acylation of 2(S)-(hydroxymethyl)pyrrolidine (III) with acetic anhydride in refluxing methanol gives 1-acetyl-2(S)-(hydroxymethyl)pyrrolidine (IV), which by reaction with SOCl2 in CHCl3 is converted into 1-acetyl-2(S)-(chloromethyl)pyrrolidine (V). The reaction of (V) with sodium azide in hot DMF affords the corresponding azide (VI), which is reduced with LiAlH4 in refluxing THF to yield the desired product (I). b) The methylation of 2-hydroxybenzaldehyde (VII) with dimethyl sulfate and K2SO3 in refluxing acetone gives 2-methoxybenzaldehyde (VIII), which is oxidized with KMnO4 in hot aqueous NaOH affording 2-methoxybenzoic acid (IX). The sulfonation of (IX) with hot chlorosulfonic acid yields 5-(chlorosulfonyl)-2-methoxybenzoic acid (X), which is finally treated with 28% aqueous NaOH to give the desired product (II).

Drug Information Express,Drug R&D,Chemical Database,Patent Search.
Copyright © 2006-2026 Drug Future. All rights reserved.Contact Us