【药物名称】RA-VII, RA-700
化学结构式(Chemical Structure):
参考文献No.547380
标题:Total synthesis of an antitumor agent RA-VII via an efficient preparation of cycloisodityrosine
作者:Bigot, A.; et al.
来源:J Org Chem 1999,64(17),6283
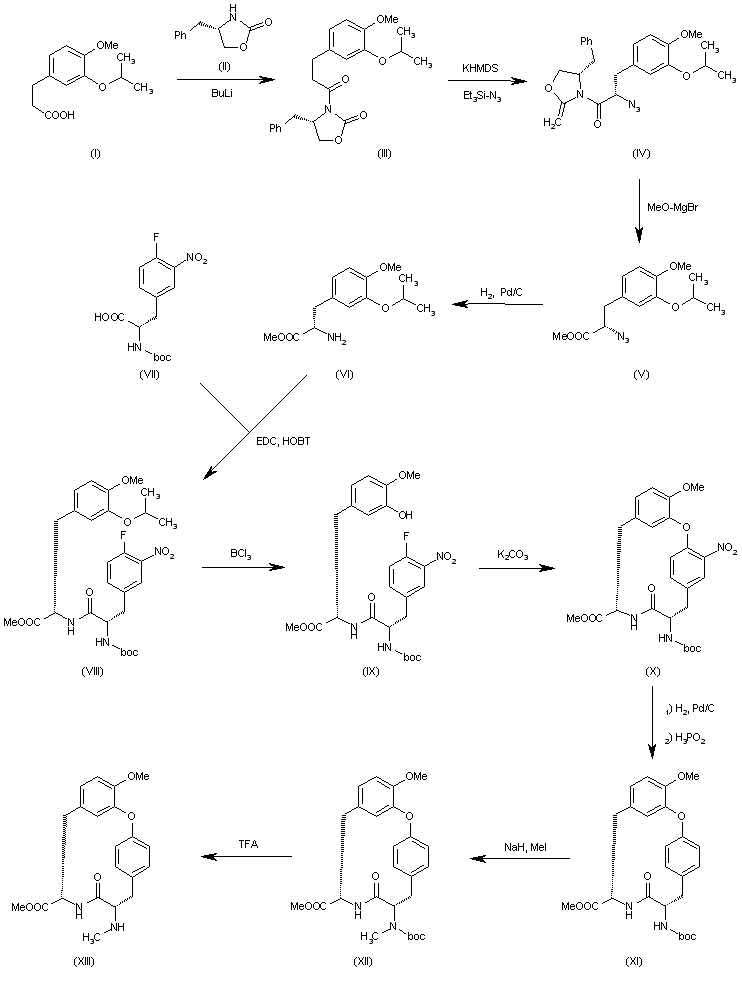
合成路线图解说明:

The condensation of 3-(3-isopropoxy-4-methoxyphenyl)propionic acid (I) with the chiral adjuvant 4(S)-benzyloxazolidin-2-one (II) by means of n-BuLi in THF gives the amide (III), which is treated with triethylsilyl azide and KHMDS in THF to afford the chiral alpha-azido compound (IV). Elimination of the oxazolidin group methoxymagnesium bromide in methanol yields the methyl ester (V), which is reduced with H2 over Pd/C in methanol giving the alpha-aminoester (VI). The condensation of (VI) with N-(tert-butoxycarbonyl)-4-methoxy-3-nitro-L-phenylalanine (VII) by means of EDC and HOBT in dichloromethane provides the dipeptide (VIII), which is des-isopropylated with BCl3 in dichloromethane affording the phenolic compound (IX). The cyclization of (IX) with K2CO3 in DMSO gives the cyclic dipeptide (X), which is reduced with H2 over Pd/C in methanol and treated with H3PO2 and NaNO2 in order to eliminate the activating nitro group to give (XI). The methylation of (XI) with NaH and methyl iodide affords (XII), which is deprotected with TFA providing (XIII) with a free methylamino group.

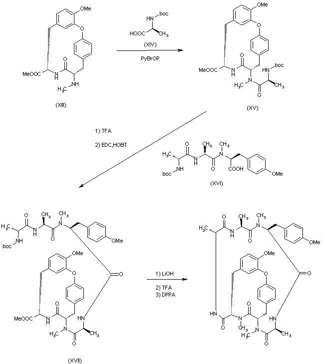
合成路线图解说明:

The condensation of (XIII) with N-protected L-alanine (XIV) by means of PyBrOP and diethylisopropylamine in DMF gives the cyclic tripeptide (XV), which after deprotection with TFA is condensed with the protected tripeptide (XVI) by means of EDC and HOBT to provide the cyclic hexapeptide (XVII). Finally, this compound is cyclized by hydrolysis of the methyl ester with LiOH in THF/methanol/water, deprotection of the amino group with TFA and cyclization with DPPA and NaHCO3 in DMF.

Drug Information Express,Drug R&D,Chemical Database,Patent Search.
Copyright © 2006-2026 Drug Future. All rights reserved.Contact Us