【药物名称】LY-195448
化学结构式(Chemical Structure):
参考文献No.4966
标题:Phenethanolamines, their formulations, preparation
作者:Mills, J.; Schmiegel, K.K.; Toomey, R.E. (Eli Lilly and Company)
来源:EP 0007206
合成路线图解说明:

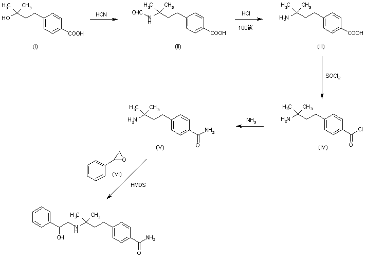
The reaction of 4-(3-hydroxy-3-methylbutyl)benzoic acid (I) with HCN in acetic acid-H2SO4 gives 4-[3-(formylamino)-3-methyibutylbenzoic acid (II), which is hydrolyzed to the corresponding amine (III) with aqueous HCl at 100 C. The reaction of benzoic acid (III) with SOCl2 gives the corresponding acyl chloride (IV), which by reaction with NH3 is converted to the benzamide (V). Finally, this compound is condensed with styrene oxide (VI) by means of hexamethyldisylazane in DMSO and hydrolyzed with NaOH in butanone water.

参考文献No.4967
标题:Process for preparing 2-hydroxy-2-phenethylamines
作者:Weigel, L.O. (Eli Lilly and Company)
来源:EP 0104888
合成路线图解说明:

The reaction of 4-(3-hydroxy-3-methylbutyl)benzoic acid (I) with HCN in acetic acid-H2SO4 gives 4-[3-(formylamino)-3-methyibutylbenzoic acid (II), which is hydrolyzed to the corresponding amine (III) with aqueous HCl at 100 C. The reaction of benzoic acid (III) with SOCl2 gives the corresponding acyl chloride (IV), which by reaction with NH3 is converted to the benzamide (V). Finally, this compound is condensed with styrene oxide (VI) by means of hexamethyldisylazane in DMSO and hydrolyzed with NaOH in butanone water.

参考文献No.77457
标题:LY-195448
作者:Casta馿r, J.; Prous, J.
来源:Drugs Fut 1988,13(12),1045
合成路线图解说明:

The reaction of 4-(3-hydroxy-3-methylbutyl)benzoic acid (I) with HCN in acetic acid-H2SO4 gives 4-[3-(formylamino)-3-methyibutylbenzoic acid (II), which is hydrolyzed to the corresponding amine (III) with aqueous HCl at 100 C. The reaction of benzoic acid (III) with SOCl2 gives the corresponding acyl chloride (IV), which by reaction with NH3 is converted to the benzamide (V). Finally, this compound is condensed with styrene oxide (VI) by means of hexamethyldisylazane in DMSO and hydrolyzed with NaOH in butanone water.

Drug Information Express,Drug R&D,Chemical Database,Patent Search.
Copyright © 2006-2026 Drug Future. All rights reserved.Contact Us