【药物名称】NND, CD-349
化学结构式(Chemical Structure):
参考文献No.40004
标题:1,4-Dihydropyridine derivs.
作者:Hatayama, K.; Sawada, J.; Nakazato, A.; Ogawa, T.; Ito, S. (Taisho Pharmaceutical Co., Ltd.)
来源:EP 0092936; US 4472411
合成路线图解说明:

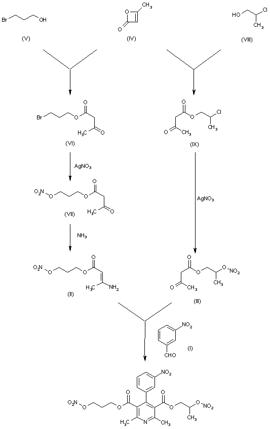
By cyclization of 3-nitrobenzaldehyde (I) with 3-nitratopropyl-3-aminocrotonate (II) and 2-nitratopropyl acetoacetate (III) in refluxing benzene. The starting products (II) and (III) are obtained as follows: The reaction of diketene (IV) with 3-bromopropanol (V) by means of sodium acetate at 50 C gives 3-bromopropyl acetoacetate (VI), which by reaction with AgNO3 in refluxing acetonitrile is converted to 3-nitratopropyl acetoacetate (VII). Finally, this compound is treated with NH3 in THF to afford the aminocrotonic ester (II). The reaction of diketene (IV) with 2-chloropropanol (VIII) as before gives 2-chloropropyl acetoacetate (IX), which is treated with AgNO3 as before to yield acetoacetate (III).

参考文献No.63016
标题:CD-349
作者:Prous, J.; Casta馿r, J.
来源:Drugs Fut 1988,13(7),610
合成路线图解说明:

By cyclization of 3-nitrobenzaldehyde (I) with 3-nitratopropyl-3-aminocrotonate (II) and 2-nitratopropyl acetoacetate (III) in refluxing benzene. The starting products (II) and (III) are obtained as follows: The reaction of diketene (IV) with 3-bromopropanol (V) by means of sodium acetate at 50 C gives 3-bromopropyl acetoacetate (VI), which by reaction with AgNO3 in refluxing acetonitrile is converted to 3-nitratopropyl acetoacetate (VII). Finally, this compound is treated with NH3 in THF to afford the aminocrotonic ester (II). The reaction of diketene (IV) with 2-chloropropanol (VIII) as before gives 2-chloropropyl acetoacetate (IX), which is treated with AgNO3 as before to yield acetoacetate (III).

Drug Information Express,Drug R&D,Chemical Database,Patent Search.
Copyright © 2006-2026 Drug Future. All rights reserved.Contact Us