【药物名称】Renzapride hydrochloride, ATL-1251, AZM-112, BRL-24924
化学结构式(Chemical Structure):
参考文献No.4927
标题:Azabicyclo compounds, useful as intermediates
作者:King, F.D. (SmithKline Beecham plc)
来源:EP 0094742; JP 5194513; JP 58188885; US 4857647
合成路线图解说明:

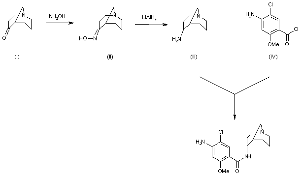
The reaction of 1-azabicyclo[3.3.1]nonan-4-one (I) with hydroxyamine gives the corresponding oxime (II), which is reduced with LiAlH4 in THF yielding 4-amino-1-azabicyclo [3.3.1]nonane (III). Finally, this compound is condensed with 4-amino-5-chloro-2-methoxybenzoylchloride (IV).

参考文献No.79468
标题:BRL-24924
作者:Serradell, M.N.; Casta馿r, R.M.; Casta馿r, J.
来源:Drugs Fut 1987,12(11),1009
合成路线图解说明:

The reaction of 1-azabicyclo[3.3.1]nonan-4-one (I) with hydroxyamine gives the corresponding oxime (II), which is reduced with LiAlH4 in THF yielding 4-amino-1-azabicyclo [3.3.1]nonane (III). Finally, this compound is condensed with 4-amino-5-chloro-2-methoxybenzoylchloride (IV).

参考文献No.209036
标题:Substituted benzamides with conformationally restricted side chains.5. Azabicyclo[x.y.z]derivatives as 5-HT4 receptor agonists and gastric motility stimulants
作者:King, F.D.; Hadley, M.S.; Joiner, K.T.; Martin, R.T.; Sanger, G.J.; Smith, D.M.; Smith, G.E.; Smith, P.; Turner, D.H.; Watts, E.A.
来源:J Med Chem 1993,36(6),683
合成路线图解说明:

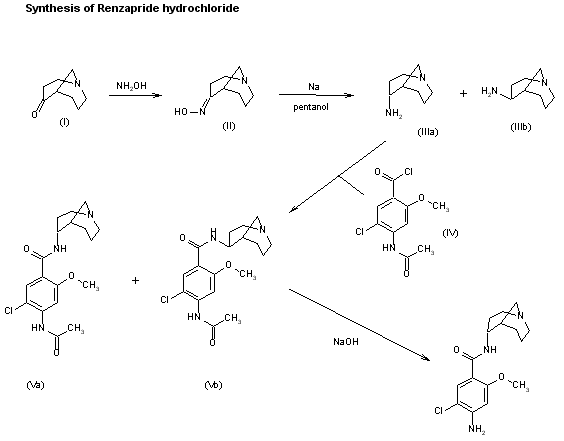
A new synthesis of renzapride has been described: The reaction of 1-azabicyclo[3.3.1]nonan-4-one (I) with hydroxylamine and pyridine in refluxing ethanol gives the corresponding oxime (II), which is reduced with Na in refluxing pentanol yielding a mixture of the exo- and endo-amines (IIIa and IIIb). The acylation of this mixture with 4-acetamido-5-chloro-2-methoxybenzoylchloride (IV) and triethylamine in toluene affords a mixture of the exo- and endo-amides (Va and Vb), which are separated by column chromatography over alumina. The endo-isomer (Va) is finally deacetylated with NaOH in refluxing ethanol. It is obtained as crystals, m.p. > 260 C.

Drug Information Express,Drug R&D,Chemical Database,Patent Search.
Copyright © 2006-2026 Drug Future. All rights reserved.Contact Us