【药物名称】Cifenline succinate, Cibenzoline succinate, UP-33901(free base), Ro-227796(free base), Exacor, Cibenol, Cipralan
化学结构式(Chemical Structure):
参考文献No.55786
标题:Cibenzoline
作者:Neuman, M.; Blancafort, P.; Casta馿r, J.; Serradell, M.N.
来源:Drugs Fut 1982,7(4),239
合成路线图解说明:

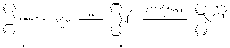
The cyclization of diphenyldiazomethane (I) with acrylonitrile (II) in CHCl3 gives cyano-2,2-diphenylcyclopropane (III), which is then cyclized with ethylenediamine tosylate (IV) by heating at 200 C.

参考文献No.700784
标题:1-(2-delta(2)-Imidazolinyl)-2,2-diarylcyclopropanes and process
作者:Cognaco, J.-C.
来源:CA 1006526; CH 585207; DE 2359816; FR 2208663; GB 1417174; JP 49093363; NL 7316487; US 3903104
合成路线图解说明:

The cyclization of diphenyldiazomethane (I) with acrylonitrile (II) in CHCl3 gives cyano-2,2-diphenylcyclopropane (III), which is then cyclized with ethylenediamine tosylate (IV) by heating at 200 C.

参考文献No.700785
标题:Chlorinated derivatives of 1-(2-delta(2)-imidazolinyl)-2,2-diarylcyclopropanes
作者:Cognaco, J.-C.
来源:CA 1018176; CH 583200; DE 2359795; FR 2208664; JP 50004072; NL 7316484; US 3905993
合成路线图解说明:

The cyclization of diphenyldiazomethane (I) with acrylonitrile (II) in CHCl3 gives cyano-2,2-diphenylcyclopropane (III), which is then cyclized with ethylenediamine tosylate (IV) by heating at 200 C.

Drug Information Express,Drug R&D,Chemical Database,Patent Search.
Copyright © 2006-2026 Drug Future. All rights reserved.Contact Us