【药物名称】Lobenzarit sodium, CCA, Carfenil
化学结构式(Chemical Structure):
参考文献No.55756
标题:N-Methyl-N-(-[3-[-2-thienylcarbonyl]-pyrazol-[1,5-alpha]-pyrimidin-7-yl]phenyl)acetamide and compsns. and methods related thereto
作者:Tomcufcik, A.S.; Dusza, J.P.; Albright, J.D.; Beer, B. (Wyeth)
来源:US 6399621
合成路线图解说明:

By condensation of 2,4-dichlorobenzoic acid (I) with anthranilic acid (II) by means of K2CO3, powdered Cu and a small amount of I2 in refluxing isoamyl alcohol.

合成路线图解说明:

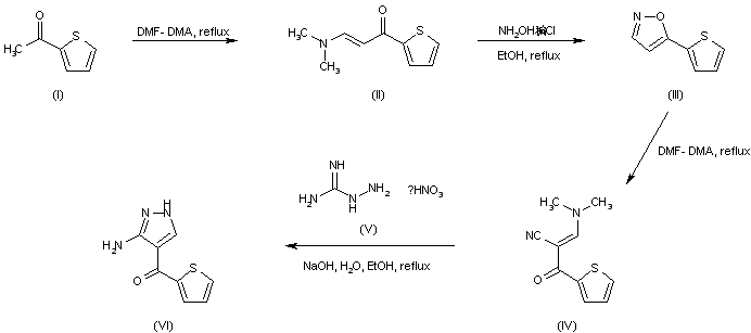
Condensation of 2-acetylthiophene (I) with dimethylformamide dimethylacetal produced enaminone (II), which was subsequently cyclized to the isoxazole (III) upon treatment with hydroxylamine. Further condensation of (III) with dimethylformamide dimethylacetal, with concomitant isoxazole ring opening, gave rise to the enamino nitrile (IV). This was then cyclized with aminoguanidine nitrate (V) under basic conditions to furnish the intermediate aminopyrazole (VI).

合成路线图解说明:

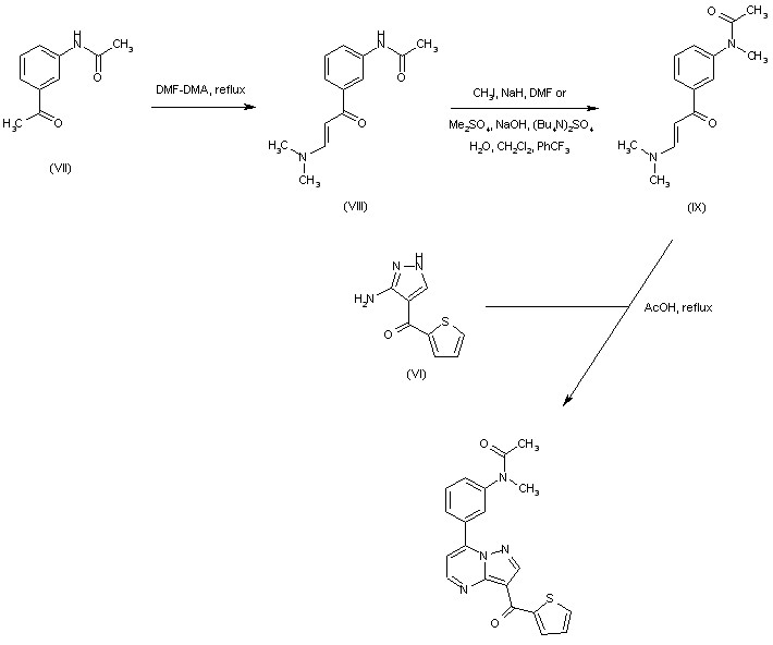
3-(Acetamido)acetophenone (VII) was converted to enaminone (VIII) upon condensation with dimethylformamide dimethylacetal. The amide N of (VIII) was then alkylated by means of iodomethane and NaH or, alternatively, under phase-transfer conditions to give (IX). Finally, condensation between enaminone (IX) and aminopyrazole (VI) in refluxing AcOH provided the target pyrazolopyrimidine.

参考文献No.701023
标题:Aminobenzoes鋟rederivate, Verfahren zu ihrer Herstellung und diese Verbindungen enthaltende Arzneimittel
作者:Tanemura, M.; et al.
来源:BE 0842832; DE 2526092; JP 52012141
合成路线图解说明:

By condensation of 2,4-dichlorobenzoic acid (I) with anthranilic acid (II) by means of K2CO3, powdered Cu and a small amount of I2 in refluxing isoamyl alcohol.

Drug Information Express,Drug R&D,Chemical Database,Patent Search.
Copyright © 2006-2026 Drug Future. All rights reserved.Contact Us