【药物名称】Beclobrate, Sgd-24774, Beclosclerin
化学结构式(Chemical Structure):
参考文献No.55734
标题:Cyclohexanetriol derivs.
作者:Takahashi, T.; Shiono, M. (Kuraray Co., Ltd.)
来源:EP 0503630
合成路线图解说明:

By condensation of 4-chloro-4'-hydroxydiphenylmethane (I) with ethyl 2-methyl-2-bromobutyrate (II) by means of NaH in DMF at 130 C.

合成路线图解说明:

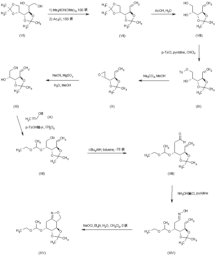
A different synthetic strategy used 3,4:5,6-O-diisopropylidene-D-mannitol (VI) as the starting material. Dehydration of (VI) by means of dimethylformamide dimethylacetal and Ac2O provided olefin (VII). Selective hydrolysis of the terminal acetonide of (VII) was achieved by means of 80% AcOH to afford diol (VIII). Conversion of (VIII) to the primary tosylate (IX), followed by treatment with Na2CO3 gave epoxide (X). Oxirane ring opening in (X) with NaCN furnished the beta-hydroxy nitrile (XI). This was then protected as the unsymmetric acetal (XII) by acid-catalyzed addition of ethyl vinyl ether. Partial reduction of the nitrile function of (XII) with DIBAL in toluene at -78 C gave rise to aldehyde (XIII), which was further derivatized as the corresponding oxime (XIV). The nitrile oxide generated by treatment of oxime (XIV) with NaOCl and Et3N underwent a dipolar cycloaddition to the olefin, leading to isoxazoline (XV)

合成路线图解说明:

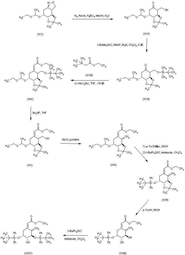
Hydrogenolysis of the isoxazoline ring of (XV) in the presence of Raney-nickel and boric acid generated the (hydroxymethyl)cyclohexanone (XVI). After hydroxyl group protection of (XVI) as the silyl ether (XVII), Peterson olefination of the ketone function of (XVII) with the lithium derivative of ethyl trimethylsilylacetate (XVIII) furnished the unsaturated ester (XIX). Desilylation of (XIX) gave the primary alcohol (XX), which was dehydrated to (XXI) by treatment with methanesulfonyl chloride and pyridine. The 1-(ethoxy)ethoxy protecting group of (XXI) was then replaced by a silyl ether (XXII) by acidic ketal hydrolysis, followed by treatment with tert-butyldiphenylsilyl chloride and imidazole. Subsequent acetonide (XXII) hydrolysis gave diol (XXIII), which was regioselectively mono-silylated providing intermediate (XXIV)

合成路线图解说明:

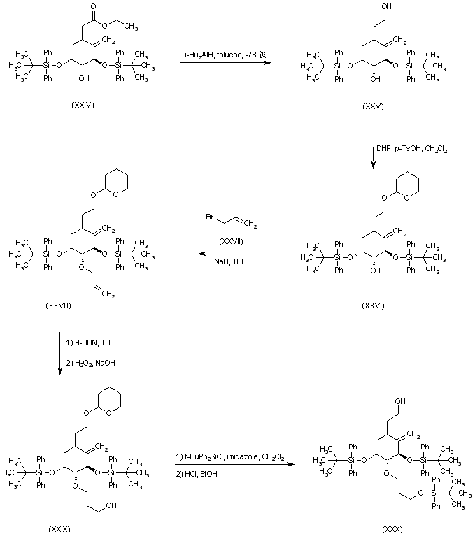
Reduction of the ester function of (XXIV) by means of DIBAL afforded alcohol (XXV), which was further protected as the tetrahydropyranyl ether (XXVI). The free secondary hydroxyl of (XXVI) was then alkylated with allyl bromide (XXVII) and NaH to produce the allyl ether (XXVIII). Selective olefin hydroboration at the allyl ether moiety of (XXVIII), followed by oxidative work-up gave rise to the primary alcohol (XXIX). After silylation of (XXIX), the tetrahydropyranyl ether was hydrolyzed with ethanolic HCl providing the tris-O-silylated compound (XXX)

合成路线图解说明:

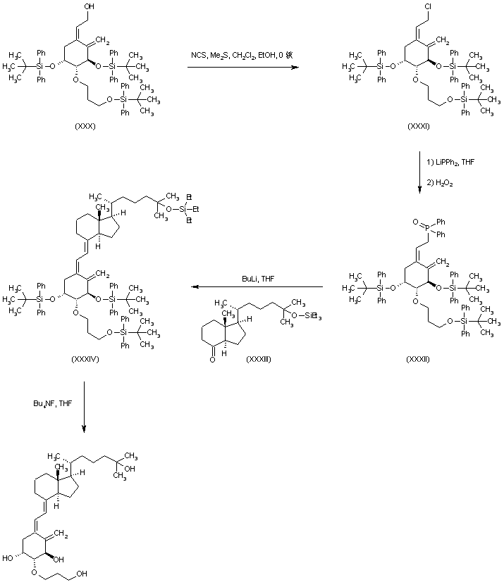
Allyl alcohol (XXX) was converted to chloride (XXXI) by means of N-chlorosuccinimide and dimethylsulfide. Displacement of the chloride ion of (XXXI) with lithium diphenylphosphide, followed by H2O2 oxidation of the resulting phosphine gave the phosphine oxide (XXXII). This was subjected to a Wittig condensation with the functionalized indanone (XXXIII) to produce the triene adduct (XXXIV). Final desilylation of (XXXIV) to the title compound was effected by treatment with tetrabutylammonium fluoride in THF

参考文献No.700897
标题:Pyridyl alkyl esters of substituted phenoxy alkanoic acids having the ability to reduce the level of fatty substances in the blood
作者:Thiele, K.; Ahmed, Q.; Adrian, R.; Jahn, U.
来源:US 4115393; US 4153803
合成路线图解说明:

By condensation of 4-chloro-4'-hydroxydiphenylmethane (I) with ethyl 2-methyl-2-bromobutyrate (II) by means of NaH in DMF at 130 C.

Drug Information Express,Drug R&D,Chemical Database,Patent Search.
Copyright © 2006-2026 Drug Future. All rights reserved.Contact Us