【药物名称】Bitolterol mesylate, WIN-32784, S-1540, Asmalene, Produrol, Tornalate
化学结构式(Chemical Structure):
参考文献No.55731
标题:Bitolterol
作者:Casta馿r, J.; Weetman, D.F.
来源:Drugs Fut 1976,1(10),454
合成路线图解说明:

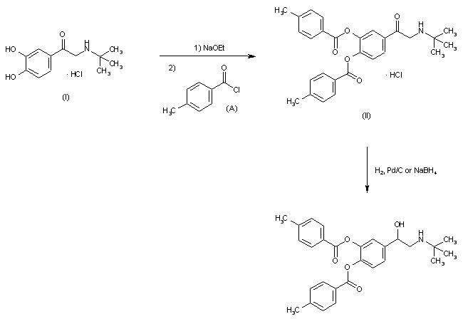
The reaction of 3,4-dihydroxyphenyl-tert-butylaminomethyl ketone (I) with sodium ethoxide in DMF gives the corresponding disodium salt, which without isolation is condensed with p-toluyl chloride (A) to yield 3,4-bis(p-toluyloxy)phenyl-tert-butylaminomethyl ketone hydrochloride (II); this salt is then reduced with H2 over Pd/C in ethanol or with sodium borohydride in methanol.

参考文献No.701132
标题:Ester von alpha-Aminomethyl-3-(hydroxy- oder hydroxymethyl)-4-hydroxybenzyl-alkoholen und Verfahren zu ihrer Herstellung
作者:Minatoya, H.; et al.
来源:DE 2015573; FR 2042295; GB 1298771
合成路线图解说明:

The reaction of 3,4-dihydroxyphenyl-tert-butylaminomethyl ketone (I) with sodium ethoxide in DMF gives the corresponding disodium salt, which without isolation is condensed with p-toluyl chloride (A) to yield 3,4-bis(p-toluyloxy)phenyl-tert-butylaminomethyl ketone hydrochloride (II); this salt is then reduced with H2 over Pd/C in ethanol or with sodium borohydride in methanol.

Drug Information Express,Drug R&D,Chemical Database,Patent Search.
Copyright © 2006-2026 Drug Future. All rights reserved.Contact Us